Converse agora com nosso suporte
Chat com o suporte

Foglight Evolve 6.3.0 - Administration and Configuration Guide

Administering and Configuring Foglight Extending Your Monitoring Reach with Foglight Cartridges Administering Foglight Configure Rules and Metric Calculations to Discover Bottlenecks Customizing Your Foglight Environment with Tooling

Manage Host Aliasing Rules

Each host aliasing rule has a priority assigned to it. The Management Server processes host aliasing rules in the order of their priority, with the rules with higher priority being executed first.

The rule priority is specified as the final step. By default, Foglight assigns the lowest priority to a new rule. This value can be changed during or after the rule creation. This topic explains the process of changing the priority of the existing rules in the Manage Host Aliasing Rules dashboard.

Simple merging rules can consist of a single rule. Advanced merging rules consist of a group of individual rules that are executed in a pre-defined order. It is possible to change the group priority, but not the priority of an individual rule within the group. For example, an advanced rule has the group priority of 4.0, and it consists of two individual rules, with their priorities set to 4.1 and 4.2 by default. While the priority of the rules within the group cannot be changed, increasing the group priority to 3.0 automatically increases the priority of the rules it contains to 3.1 and 3.2.

Additionally, changing the priority of a rule can affect the order in which other rules are executed, as illustrated in the following table.

2.0

None

2.0

3.0

Decrease by 1.0

4.0

4.0

None

3.0

1
On the navigation panel, under Dashboards, click Administration > Tooling > Manage Host Aliasing Rules.
3
In that row, click the Priority column.
In the Custom Priority box, type the rule priority, and click Apply.

Simple and advanced merging rules can have their names changed, as well as the individual rules that are a part of a group (advanced merging rules).

1
On the navigation panel, under Dashboards, click Administration > Tooling > Manage Host Aliasing Rules.
3
The Change Rule Display Name Form dialog box appears.
In the Change Rule Display Name Form dialog box, in the New Name box, type the new rule name as you want it to appear on the Manage Host Aliasing dashboard, and click Rename.
The Change Rule Display Name Form dialog box closes, and the list of rules in the Manage Host Aliasing dashboard refreshes, showing the newly-updated rule name.

Simple and advanced merging rules can be deleted, as well as individual rules that are a part of a group (advanced merging rules).

1
On the navigation panel, under Dashboards, click Administration > Tooling > Manage Host Aliasing Rules.
The Confirm Delete dialog box appears.
In the Confirm Delete dialog box, click Yes.
The Confirm Delete dialog box closes, and the list of rules in the Manage Host Aliasing dashboard refreshes, no longer showing the newly-deleted rule.

Creating a host aliasing rule is the process of creating property matching filters that select one or more host objects, and specifying a logical definition of the merge operation to either merge existing objects, or to create new ones. This is useful in situations when the regular merging process does not have information to match data objects as they are collected.

The merging process is in effect only while the merging rules exist and are active while the data consolidation resulted from a merging rule is permanent. For example, creating a rule that merges a source host with a target host results in the source host’s data being consolidated with the target host’s data, which is not only reflected in the data collection model, but also in any dashboards that display host-related data such as the Agents dashboard. When the rule is deleted, the data collected from the source host before the rule deletion still appears as collected by the target host, while the data collected after the deletion is stored under each individual host. For more information on how to delete rules, see Deleting host aliasing rules.

Based on their complexity, there are two types of host aliasing rules:

The button on the Manage Host Aliasing Rules dashboard invokes the New Merging Rule Introduction dialog box that shows three options, one for each rule type.

Choosing each option starts a unique flow. Its complexity depends on the rule type. For example, if you choose to merge one host object with another, you specify the names of the host object while the process of merging two or more topology objects which results in a simple rule. Merging two hosts based on a property matching logic requires you to specify a more complex property matching filter, and results in an advanced rule that contains two or more individual rules.

1
On the navigation panel, under Dashboards, click Administration > Tooling > Manage Host Aliasing Rules.
The New Merging Rule Introduction dialog box appears.

Create a focused rule for a single host

Merging host objects

Create a broad rule which works with many hosts

Edit host object properties

When you make a selection, the New Merging Rule Introduction dialog box closes and the Host Aliasing dialog box appears. The appearance of the Host Aliasing dialog box depends on the rule type selection.

Merging one host object with another consolidates the data collected by a source host under a target host. This is useful in situations when the regular merging process does not have information to match data objects as they are collected. This process involves specifying property matching filters to select the source and target hosts.

The merging process is in effect only while the merging rules exist and are active while the resulted data consolidation is permanent even if the merging rule that caused it is inactive or deleted.

Selecting the Create a focused rule for a single host option in the New Merging Rule Introduction dialog box invokes the Specify Target Host workflow for creating a host merging rule.

a
Optional — To use a different property, in the Host Aliasing dialog box, click Name: String. In the list that appears, click the row containing the desired property.
IMPORTANT: The list that appears shows only a subset of the entire property set for the selected object type. This is because property matching filters can only reference certain types of properties such as String or Boolean properties. To see a full set of properties that exist in the Host type, view the Schema Browser dashboard; for more information about this dashboard, see the Foglight User Guide.
The property list closes and the newly-selected property name and its data type appear in the Host Aliasing dialog box. For example, selecting the domainName property shows Domain Name: String in the dialog box.
In the Host Aliasing dialog box, in the box on the left of the Look up button, type the value that you want to search for in the host objects that exist in the data collection model. For example, to look for a host object whose name is mytargethost.mydomain.com, with the name property selected (Name: String, see Step a), type mytargethost.mydomain.com into the box.
Optional — To choose from the values of the selected property in the existing host objects, click Look up. In the Host Finder dialog box that appears, select the row containing the desired value, followed by closing the dialog box.
Close the Host Finder dialog box. The Host Aliasing dialog box refreshes.
c
In the Host Aliasing dialog box, click Next.
The Specify Source Host page contains the information about the target host.
TIP: To select a different target host, click Previous to return to the Specify Target Host page.
a
In the Host Aliasing dialog box, on the Specify Source Host page, type the value that you want to search for in the host objects that exist in the data collection model. For example, to look for a host object whose name is mysourcehost.mydomain.com, with the name property selected (Name: String, see Step 1, sub-Step a), type mysourcehost.mydomain.com into the box.
Optional — To choose from existing property values, click Look up. In the Host Finder dialog box that appears, select the row containing the desired value, followed by closing the dialog box.
b
Click Close to close the Host Finder dialog box. The Host Aliasing dialog box refreshes.
c
In the Host Aliasing dialog box, click Next. The Host Aliasing dialog box refreshes.
The Summary page contains information about the source and target hosts. It also allows you to change the rule priority and to instruct Foglight to stop processing any rules with a lower priority when this rule executes (see the Stop processing lower priority rules when successful check box, disabled by default). By default, this rule is placed at the bottom of the priority queue. For example, if there are six existing host aliasing rules, this rule is assigned the priority of seven ‘7’. You can also change the priority at a later time. For more information, see Changing the priorities of host aliasing rules.
Optional — To change the rule priority or prevent the processing of the rules with the lower priority, use the Priority box and Stop processing lower priority rules when successful check box, as required.
TIP: To select a different source host, click Previous to return to the Specify Source Host page.
d
In the Summary page, review the overview of the merge process.
TIP: To select different hosts, click Previous to return to a previous page, as required.
e
In the Host Aliasing dialog box, click Finish.
The Host Aliasing dialog box closes, and the Successful message box appears, indicating a success.
f
Click OK to close the message box.

Changing the name or another property of one or more host objects can be done using literal or regular expressions. This process involves creating filters, to select one or more hosts, and specifying an expression for replacing the property value.

Renaming host objects creates new host objects without deleting the original host object. When the rule is created, it instructs Foglight to consolidate any data collected from the renamed hosts under the newly-created host objects.

Selecting the option Create a broad rule which works with many hosts in the New Merging Rule Introduction dialog box invokes the Specify Matching Parameters workflow for creating a rule that changes the names or other host properties. The Host Aliasing dialog box includes several options that simplify the process of renaming host properties.

From there, specify the current and target names, and review the summary of the merge process.

Remove characters from the end of a host name

To remove characters from the end of host names:

Replace characters in a host name

To replace characters in host names:

Use a regular expression to convert a host name

To use a regular expression to rename hosts:

Merge hosts by a property other than name

To change host properties:

1
In the Specify Matching Parameters page of the Host Aliasing dialog box, select the option Remove characters from the end of a host name, followed by clicking Next.
The Host Aliasing dialog box refreshes, showing the page Remove characters from the end of a host name.
TIP: To use a different type of matching parameter, click Previous to return to the Specify Matching Parameters page.
In the Host Aliasing dialog box, in the Host Names start with box, type a literal expression containing one or more starting characters of the host name.

Yes

my_host

Yes

Yes

Yes

No

No

No

No

In the Host Aliasing dialog box, in the Host Names start with box, type a literal expression containing the characters that you want to remove from the host name.

Yes

company_a.com

Yes

No

No

The Host Aliasing dialog box refreshes.
The Summary page in the Host Aliasing dialog box describes the character renaming logic. It also allows you to change the rule priority and to instruct Foglight to stop processing any rules with a lower priority when this rule executes (see the Stop processing lower priority rules when successful check box, disabled by default).
To change the rule priority or prevent the processing of the rules with the lower priority, use the Priority box and Stop processing lower priority rules when successful check box, as required.
CAUTION: Host aliasing rules include a system-level rule, adjustHostName, that automatically restores host names if the entire domain name is removed. This rule is hidden and as such does not appear in the browser interface. The rule includes a default priority of one '1', while newly created rules have a default priority of two '2' or lower, causing adjustHostName to override the removal of domain names. For example, if you have a host called example.mydomain.com, and want to remove the domain name, .mydomain.com from that host name, adjustHostName reverts the removal of the domain name. To successfully remove the entire domain name from the host name, you must prevent adjustHostName from executing. This can be done by selecting the Stop processing lower priority rules when successful option.
TIP: To use a different replacement text or to select different hosts, click Previous to return to the Remove Characters from the End of a Host Name page.
4
In the Host Aliasing dialog box, click Finish.
The Host Aliasing dialog box closes, and the Successful message box appears, indicating a success.
5
Click Ok to close the message box.
1
In the Specify Matching Parameters page of the Host Aliasing dialog box, select the option Replace characters in a host name, followed by clicking Next.
The Host Aliasing dialog box refreshes, showing the page Replace characters in a host name.
TIP: To use a different type of matching parameter, click Previous to return to the Specify Matching Parameters page.
In the Host Aliasing dialog box, in the Find box, type a literal expression that you want to replace.

Yes

company_

Yes

Yes

Yes

No

No

No

No

In the Host Aliasing dialog box, in the Replace With box, type a literal expression containing the characters that you want to use as the replacement text.

Yes

my_company

Yes

Yes

Yes

The Host Aliasing dialog box refreshes.
The Summary page in the Host Aliasing dialog box describes the character renaming logic. It also allows you to change the rule priority and to instruct Foglight to stop processing any rules with a lower priority when this rule executes (see the Stop processing lower priority rules when successful check box, disabled by default). By default, this rule is placed at the bottom of the priority queue. For example, if there are seven existing host aliasing rules, this rule is assigned the priority of eight ‘8’. You can also change the priority at a later time. For more information, see Changing the priorities of host aliasing rules.
Optional — To change the rule priority or prevent the processing of the rules with the lower priority, use the Priority box and Stop processing lower priority rules when successful check box, as required.
TIP: To use a different type of matching parameter, click Previous to return to the Specify Matching Parameters page.
4
In the Host Aliasing dialog box, click Finish.
The Host Aliasing dialog box closes, and the Successful message box appears, indicating a success.
5
Click Ok to close the message box.
1
In the Specify Matching Parameters page of the Host Aliasing dialog box, select the option Use a regular expression to convert a host name, followed by clicking Next.
The Host Aliasing dialog box refreshes, showing the page Use a regular expression to convert a host name.
TIP: To use a different type of matching parameter, click Previous to return to the Specify Matching Parameters page.
In the Host Aliasing dialog box, in the Regular Expression box, type a regular expression that selects the host names that you want to replace.
Table 8.  

Yes

my_host*

Yes

Yes

Yes

No

No

No

No

In the Host Aliasing dialog box, in the Replace Expression box, type a literal expression that you want to use as the replacement text.
Table 9.  

Yes

my_test_host

Yes

Yes

Yes

The Host Aliasing dialog box refreshes.
The Summary page in the Host Aliasing dialog box describes the character renaming logic. It also allows you to change the rule priority and to instruct Foglight to stop processing any rules with a lower priority when this rule executes (see the Stop processing lower priority rules when successful check box, disabled by default). By default, this rule is placed at the bottom of the priority queue. For example, if there are seven existing host aliasing rules, this rule is assigned the priority of eight ‘8’. You can also change the priority at a later time. For more information, see Changing the priorities of host aliasing rules.
Optional — To change the rule priority or prevent the processing of the rules with the lower priority, use the Priority box and Stop processing lower priority rules when successful check box, as required.
TIP: To use a different type of matching parameter, click Previous to return to the Specify Matching Parameters page.
4
In the Host Aliasing dialog box, click Finish.
The Host Aliasing dialog box closes, and the Successful message box appears, indicating a success.
5
Click OK to close the message box.
1
In the Specify Matching Parameters page of the Host Aliasing dialog box, select the option Merge hosts by a property other than name, followed by clicking Next.
The Host Aliasing dialog box refreshes, showing the page Merge hosts by a property other than name.
TIP: To use a different type of matching parameters, click Previous to return to the Specify Matching Parameters page.
a
In the Host Aliasing dialog box, click Select a Property.
IMPORTANT: The list that appears shows only a subset of the entire property set for the host object. This is because property matching filters can only reference certain types of properties such as String or Boolean properties. To see a full set of properties that are exist in the Host type, view the Schema Browser dashboard; for more information about this dashboard, see the Foglight User Guide.
The list closes and the Host Aliasing dialog box refreshes, showing the newly-selected property.
In the Host Aliasing dialog box, in the Regular Expression box, type a regular expression that translates into the property value that you want to replace.

Yes

(xyz.*)\.mydomain.com

Yes

Yes

Yes

No

No

No

No

In the Host Aliasing dialog box, in the Replace Expression box, type a regular expression that you want to use as the replacement text.

Yes

$1.quest.com

Yes

Yes

Yes

The Host Aliasing dialog box refreshes.
The Summary page in the Host Aliasing dialog box describes the character renaming logic. It also allows you to change the rule priority and to instruct Foglight to stop processing any rules with a lower priority when this rule executes (see the Stop processing lower priority rules when successful check box, disabled by default). By default, this rule is placed at the bottom of the priority queue. For example, if there are seven existing host aliasing rules, this rule is assigned the priority of eight ‘8’. You can also change the priority at a later time. For more information, see Changing the priorities of host aliasing rules.
Optional — To change the rule priority or prevent the processing of the rules with the lower priority, use the Priority box and Stop processing lower priority rules when successful check box, as required.
TIP: To select a different source host, click Previous to return to the Specify Source Host page.
5
In the Host Aliasing dialog box, click Finish.
The Host Aliasing dialog box closes, and the Successful message box appears, indicating a success.
6
Click Ok to close the message box.

Merging two topology objects consolidates the data collected by the two or more existing object instances of the same type. This process involves creating property matching filters to select the topology objects. This is useful in situations when the regular merging process does not have information to match data objects as they are collected.

Renaming host objects does not create nor delete any topology objects from the schema. When created, advanced rules instruct Foglight to consolidate any data collected from the merged topology objects under the target object in the data model. Additionally, advanced rules are comprised of two or more simple rules that are executed in a pre-defined order.

The range and type of simple rules in an advanced rule depends on the nature and complexity of the advanced rule. Each simple rule is assigned a priority number that illustrates the order in which they are executed. These priorities cannot be changed for the simple rules, however, changing the advanced rule priority affects each individual rule. For more information abut changing rule priorities, see Changing the priorities of host aliasing rules .

Selecting the option Create an Advanced Rule in the New Merging Rule Introduction dialog box invokes the Select a Type workflow for creating a rule that merges two or more topology objects.

From there, you specify the current and target properties, and finally review the summary of the merge process, as described below.

a
In the Host Aliasing dialog box, on the Select a Type page, use the TopologyObject node to select the desired topology type.
TIP: When expanded, the TopologyObject node contains a structure that contains all topology types that exist in the Foglight schema and it illustrates their relationships. All topology types in Foglight descend from this type. If you know the type name, either full or partial, instead of looking through the entire tree, use the filter above the navigation tree. To find out more about the Foglight schema, use Schema Browser dashboard. For more information about this dashboard, see the Foglight User Guide.
For example, to select the Host type, use the search filter by typing Host into the text search box and clicking Search. In the list that refreshes, showing the entries that contain Host, click the Host node.
The Host Aliasing dialog box refreshes, showing the Create Merge Filter page.
The Create Merge Filter page allows you to specify the property that is used as a filter.
TIP: To select a different topology type, click Previous to return to the Select a Type page.
Optional. To use a different property, in the Host Aliasing dialog box, click Name: String. From the list that appears, click the row containing a different property.
IMPORTANT: Selecting another topology type produces a different list of properties. The list that appears shows only a subset of the entire property set for the Host type. This is because property matching filters can only reference certain types of properties such as String or Boolean properties. To see a full set of properties that exist in the selected topology type, view the Schema Browser dashboard; for more information about this dashboard, see the Foglight User Guide.
For example, to evaluate Host objects based on their domain name, select the row containing the domainName entry.
In the Host Aliasing dialog box, in the box on the left of the Use Regex check box, type a literal or regular expression that you want to search for. If using a regular expression, select the Use Regex check box.
For example, to look for hosts whose domain name is mydomain.com, type mydomain.com into the box.
c
In the Host Aliasing dialog box, click Next.
The Host Aliasing dialog box refreshes, showing the Specify Transformation Parameters page.
The Specify Transformation Parameters page contains the information about the target host.
TIP: To use a different property type for selecting objects, click Previous to return to the Create Merge Filter page.
For example, if you selected the hosts with .mydomain.com as the domain name in Step 2, and from those hosts you want to find the ones with my_host_* in their name (not the domain name) and merge them with the hosts that have test_host_* in the name.
In the Host Aliasing dialog box, click the value on right or Property to Apply and from the list that appears, select the property name.
TIP: By default, the value that appears on the right of Property to Apply illustrates the property selected to do an initial evaluation (see Step 1). For example, if you selected the domain name, Domain Name: String appears on the right of Property to Apply.
For example, is you selected Host objects based on their domain name in Step 1, you can now select one or more Host objects from that subset using their name. To do that, from the list that appears, select the row containing the entry name.
In the Regular Expression box, type a regular expression containing the property value.
For example, to select the Host objects whose names start with my_host, type my_host*.
In the Replace Expression box, type a regular expression containing the property value.
For example, to merge the hosts whose name starts with my_host, as specified in Step b, with the hosts whose name starts with test_host, in the Replace Expression box, type test_host*.
d
In the Host Aliasing dialog box, click Next.
The Host Aliasing dialog box refreshes, showing the Select Alternative Properties page.
The Select Alternative Properties page allows you to add alternative properties whose values are used to select and merge objects when the previously specified properties (see Step b) return no matches. To add alternative properties, complete Step 4; otherwise, click Next and proceed to Step 5.
TIP: To select objects using a different property, click Previous to return to the Specify Transformation Parameters page.
4
Optional. Add any alternative properties whose values are used to select and merge objects when the previously specified properties (see Step 3, sub-Step b) return no matches. The rule processes the alternative properties in the order in which they are listed.
For example, if you intend to select Host objects whose name property starts with my_host (as specified in the example in Step 3, sub-Step b), in case that selection returns no matches, you can to instruct the rule to inspect the localName property as well.
a
In the Host Aliasing dialog box, click Add.
The Alternative Property Table Selector dialog box appears.
IMPORTANT: Selecting another topology type produces a different list of properties. The list that appears shows only a subset of the entire property set for the Host type. This is because property matching filters can only reference certain types of properties such as String or Boolean properties. To see a full set of properties that are exist in the selected topology type, view the Schema Browser dashboard; for more information about this dashboard, see the Foglight User Guide.
b
In the Alternative Property Table Selector dialog box, select the row containing the property that you want to add as an alternative property.
For example, when working with Host objects that are selected based on their name property, to select the localName property as an alternative property, select the row containing the localName entry.
The Alternative Property Table Selector dialog box closes, and the Host Aliasing dialog box refreshes, showing the newly-added alternative property.
c
In the Host Aliasing dialog box, click Next.
The Host Aliasing dialog box refreshes, showing the Summary page.
The Summary page in the Host Aliasing dialog box describes the object merging logic. It also allows you to change the rule priority and to instruct Foglight to stop processing any rules with a lower priority when this rule executes (see the Stop processing lower priority rules when successful check box, disabled by default). By default, this rule is placed at the bottom of the priority queue. For example, if there are seven existing host aliasing rules, this rule is assigned the priority of 8 (see the Priority box). You can also change the priority at a later time. For more information, see Changing the priorities of host aliasing rules.
Optional. To change the rule priority or prevent the processing of the rules with the lower priority, use the Priority box and Stop processing lower priority rules when successful check box, as required.
TIP: To select a different source host, click Previous to return to the Specify Source Host page.
5
In the Host Aliasing dialog box, click Finish.
The Host Aliasing dialog box closes, and the Successful message box appears, indicating a success.
6
Click OK to close the message box.

Build Script Agents

There are two types of scripts:

Type 1 scripts. The Foglight collector calls these scripts every time they need to collect data. In Type 1 scripts, the collector executes the script, then stands by for a time period specified in the agent properties. When the standby period ends, the collector becomes active and reruns the script. Type 1 scripts are useful for collecting data that does not require calculations from multiple collection periods.
Type 2 scripts. These scripts control their own collection frequency cycle. In Type 2 scripts, the Foglight collector executes the script and remains open. The script controls the standby period instead of the agent properties. Type 2 scripts perform data calculations before the data enters the database and measure changes between collection periods.

The following is an example of a Type I script:

Sample Type 1 scripts are also available from the Foglight Management Server installation directory:
Windows
<foglight_home>/scripts/agent/Type1_NT_Script.bat

Unix
<foglight_home>/scripts/agent/Type1_Unix_Script.sh

The following is an example of a Type 2 script:

if not "%ECHO%"=="" echo %ECHO%

When writing a script to create a custom agent, use the following syntax:

TABLE table_name
START_SAMPLE_PERIOD
field_name[.type[.{id|obs}]][:unit]=value
END_SAMPLE_PERIOD
END_TABLE

A Canonical Data Transformation (CDT) dynamically converts the output data into the appropriate format (such as topology types and observations) that exist in the collection model. This mechanism dictates the syntax of the line of the code that specifies the field data immediately following the START_SAMPLE_PERIOD command, as shown in the above syntax block:

START_SAMPLE_PERIOD
field_name[.type[.{id|obs}]][:unit]=value

END_SAMPLE_PERIOD

Sends the current collection sample to the database and completes the transaction.

END_TABLE

Closes the table.

field_name

Contains the name of the field under which to store the observation.

id

Indicates that the property should be treated as an identity.

LOG message

Sends a status message to Foglight Agent Manager logs with message specifying the message.

LOG severity message

Sends an error message to Foglight Agent Manager logs with message specifying the message and severity set to one of the following values: FATAL, WARNING, or CRITICAL.

NEXT_SAMPLE

Sends multiple rows of field data in a single transaction.

obs

Indicates that the specified topology type is an observation (such as StringObservation).

SLEEP sample_freq

In Type 2 scripts, this element ends the script and instructs the collector to wait for the specified time before executing the script again.

NOTE: In NT operating systems, use the rapssleep command, as those systems do not have a sleep facility:
rapssleep %sample_freq%

START_SAMPLE_PERIOD

Starts the data collection for the specified table and inserts field data using the line of code that immediately follows this command.

TABLE table_name

Opens the table with table_name specifying the name of the table. If an identity field is declared, append it to the table name.

type

Specifies the topology type if it is not a metric.

unit

Contains the name of the measurement unit to use for metrics. If a unit is not specified, Foglight uses “count” as the unit by default.

Custom script agents interact with the Agent Manager through the Foglight collector executable. Script-based custom agents output data to standard output (STDOUT). The Foglight collector reads this data and retransmits it to the Agent Manager.

Script agents work by running a prescribed script and processing the output. The actual agent is called JCollector. This agent runs the script, parses the output, and sends the resulting data table samples to Foglight.

There are two ways to make a script run:

Let JCollector call the script on the sampling interval (Type 1 scripts).
Allow JCollector to call the script once (Type 2 scripts). The script controls the sampling interval.

Type 2 scripts are more complex because the script author must handle looping and honour the sampling interval from the server. This might be necessary if the length of the loop is important for doing things like calculating rates. For the purposes of getting started, use Type 1. This will minimize the complexity. Switch to Type 2 once you have a reason for hand-coding the loop. For more details about Type 1 and Type 2 scripts, see Script types.

As mentioned before, JCollector runs the script and parses the output sent to STDOUT. It then sends that output back to the Management Server in the form of tables. There is a special Canonical Data Transformation (CDT) that interprets the data that is sent back. That CDT knows how to deal with the table elements, mostly by parsing the field/column names.

The standard model for a script agent is an agent containment model. An agent containment model means that the tables you send from your script agent are contained in an instance of your agent, and that agent is contained inside a host. This is usually good enough for getting started.

The output format is easy to understand:

The TABLE directive instructs the Collector to start a new table of data with the specified name. A single script agent can emit multiple tables. START_SAMPLE_PERIOD and END_SAMPLE_PERIOD allow you to insert rows into that table. One or more rows are allowed. The Field = Value entry specifies the name of a table column and its value. To find out more about syntax rules, see Script syntax.

For example, if you have a table of data with the following contents:

90

55

20

78

35

43

Then the script agent results appear as follows:

This simple example demonstrates how data tables are translated into script agent format. However, it is invalid because of non-numeric data in the Host column. This is covered later in this topic, and illustrates a classic pitfall while working with script agents in Foglight. For more information, see Script agent pitfalls: Converting string data.

In this example we create a basic script agent and confirm at the data it collects. The following listing contains a basic script.

After uploading the script to the Management Server, the Management Server processes the script and creates a cartridge around it, resulting in a CAR file. The cartridge includes the script, the Collector agent, and the CDT used to process the data.

Creating a cartridge from a script involves several steps. First, you write an agent script and upload it to the Management Server using the Build Script Agent dashboard. The upload process automatically builds the agent package. Next, you deploy that agent package to the host, create an agent instance, and edit its properties, if required. For complete instructions on using the browser interface to create a script agent and enable its data collection, see Uploading custom agent scripts.

After a minute (which is the default sampling frequency), you can verify that the agent is collecting data using the Agents dashboard. The Agents dashboard can be accessed by clicking Homes > Agents on the navigation panel. On the Agents dashboard, applying the With Agents filter allows you to see monitored hosts with agents. Use that list to locate the host you deployed the script agent to, and your script agent. For more information about the Agents dashboard, see the Foglight User Guide.

If you cannot find your script agent on the Agents dashboard, you can retrieve its log from the Agent Status dashboard by selecting your script agent and clicking Get Log. For more information about retrieving agent logs, see Retrieve agent logs.

To verify that your script agent is collecting data, after locating the agent instance on the Agents dashboard, select the Data option. Choosing this option allows you to view the raw data. Applying the Metric Analyzer view allows you to see the metrics’ value and type. Then, choose the Data option to see the collected data in a selected table.

For the purpose of this exercise, use the script and process described above. The results on the Agents dashboard page should be similar to the following illustration.

As illustrated above, your script agent is collecting data and sending it to Foglight, you are getting data into Foglight. Remember that this data is in a table inside the agent instance. If you need additional tables, you need to create new agent instances.

We now go back to the data example shown in Script agent format, with the contents:

hostA

90

55

20

hostB

78

35

43

Then the script agent results based on the above table are as follows:

Uploading the script to the server, deploying the resulting agent package, and creating and enabling an agent instance results in the following type of data being collected: CPU, Memory, and Disk. Note that the Host column is missing from the set of collected data.

To find out what happened to the Host column, observe the contents of the server log file. You can download log files using the Log Analyzer dashboard. This dashboard is accessible through the navigation panel, under Management Server > Diagnostic > Log Analyzer. For more information about the Log Analyzer dashboard, see Monitor Server Performance. The pattern to look for with script agent errors is anything related to TopologyAdapter. The following section in the log file shows an error related to the Host entry in the script:

2009-07-21 07:45:41.187 ERROR [Data-3-thread-13215] com.quest.nitro.service.agent.TopologyAdapter - The value provided for the metric could not be converted to a double.
Value = hostA. Node path = [FglAM::host-1_0_0/CDT-1_0_0/topology-adapter.xml]/SPI:SPI/host:*/HostData:*/row:row/Host java.lang.NumberFormatException: For input string: "hostA"

What does this mean in plain language? It looks like the server is trying to convert the string-based host names provided for the Host field into doubles. This is because, by default, Foglight assumes all script agent entries are numeric time series data. In other words, Foglight is trying to convert these values to numbers. It is not working as expected, which explains why the Host values are not appearing as expected.

What this means is you need to do something special with your strings. The first thing we need to do is mark it as a String using the following statement:

But there are actually a couple of options. The one you choose depends on what you want to accomplish.

Does the field uniquely identify the row of data? If it does, then we should mark it as an identity field. An identity field causes a new object instance to be created.

Does the field change frequently? If a string changes frequently, then it should be marked as an observation. That way Foglight stores a new value every sample, and does not the changes. If a string changes infrequently, then it can be a property. A property has one value stored, and changes are tracked. To determine if something changes frequently, ask the following question: Could this value change each sample period in a typical use case? To understand these concepts, we need to expand our example.

In this example, we will assume that we are actually gathering the following data about a host:

90

78

55

35

10

43

10.4.22.10

10.4.21.14

Up

Down

In the above data sample, there are three string values: Host, IP Address, and State. We will now apply Question 1 and Question 2 to each of the entries:

Yes

No

No

No

No

Yes

It is clear that the Host column contains the name of a host, and therefore defines its identity. We want to see a new instance of the data for each unique value of Host.

IP Address, on the other hand, is not an identity property. It is unlikely to change with each sample frequency. In most environments, IP Addresses are leased long-term. Marking IP Address as a property but not an observation makes sense.

Finally, the State column is not an identity property. However, it is possible that it could change from sample period to sample period. A host may not go down often, but when it does go down you want to know when. Tracking State as a string observation makes the most sense.

Here is the resulting script:

After uploading the script and re-deploying the agent package, on first look, the data you see in the Metric Analyzer for the script agent appears to be the same, consisting of cpu, disk, and memory.

Figure 8. The Choose a Table box allows you to switch between the two host instances, and display the metric for the chosen host.

Now we actually have two sets of entries: one for hostA, and another one for hostB. What we never really noticed before is that we were getting two values of the same metrics into the same table before. Now we have two separate table entries, one for each host. So we fix at least one problem by adding Host.String.id to the script.

But where are the IP Address and State columns? IP Address should be visible as a property.

TIP: To open the Property Viewer, in the Data Browser’s upper-right corner, click Views and select Property Viewer (Foglight:Object) from the list that appears:

We have so far accounted for two of our changes. But what happened to the State column? Observations are a special class of metric. They are, by nature, harder to display. A time-series metric of type double can be graphed. But a set of values for a String appears differently. In general, observations are a little more difficult to deal with than other types. You can still display them, write rules, and so on, but you have to use special techniques. So where is State?

Figure 10. The Property Viewer shows the State metric values if we scroll down further:

As you can see, the state observation shows up with the other time-series metrics in the Property Viewer. At the moment, the Metric Analyzer view does not show observation data.

The following error in the server log indicates that you declared a String as Field.String.obs instead of Field.StringObservation.obs:

You need to correct your script. This error is actually fatal to the processing of the agent data. You will not see any data pushed into the server, and more specifically, the agent entry will not appear on the Agents home page.

Next, if you see the following error:

There is no need to correct anything in your agent script. This error appears because during the processing of the data, the server came across your identity declaration. This caused the server to change the definition of the table. You might see this as part of your iterations.

In script agents, data is sent to the server by specifying a series of field=value pairs. The syntax is as follows:

As we work through this topic we explore how to use all elements of this syntax.

For detailed syntax description, see Script syntax.

In Foglight 4, data modeling was uniform for all collections. Data was gathered by agents and organized into tables. The tables were attached to an agent instance. The agents were attached to host instances.

Foglight 5 allows for many different kinds of data models, including the Foglight 4 model. To make transition easier, script agents make use of the Foglight 4 data model. This means that the data in a script agent is gathered by an agent, organized into tables attached to the agent, and the agent is attached to a host. This model is visualized below: it applies to Foglight 4 and Foglight 5:

This means that script agent data models look the same up to the agent. There is a host, and it contains a script agent.

The differences between Foglight 4 and Foglight 5 are visible at the table level. A Foglight 4 table is like a database table. Each new collection is a new row in the table. A Foglight 5 table is actually a data object. The columns in the collection are turned into properties, metrics or observations, depending on the type of information provided by the script agent.

This is a significant new bit of flexibility, but a bit tricky to fully understand. Let's consider a script agent that collects host data.

@echo off

echo Host = hostA
echo Host = hostB

@echo off

echo Host.String.id = hostA
echo Host.String.id = hostB

90

55

20

78

35

43

The problem with this table is that it creates one entry per host, causing you to do additional work to differentiate between different host instances.

This type of table in Foglight 5 results in creation of two objects of type ExpandedHost. The Host property is the unique identifier for the object because Foglight generates a new object instance will be generated for each new Host entry in the script agent. Each object has CPU, Memory and Disk metrics attached to it.

Each metric is a set of time-series data. This gives much more flexibility, at the cost of a bit of up front complexity. You can find each unique ExpandedHost instance easily. For each instance, you can query the metrics in any number of ways, pulling out average, minimum, maximum, standard deviation, or current value for any time range.

In the previous topics we worked through an example with three string values. It is worth repeating the results. The three string values were the host name, IP address and host state:

Yes

No

No

No

No

Yes

This lead to the following script agent entries:

Here's the final reasoning:

Never changes, defines identity for the collection

Host.String.id

Identity

An identity property called Host is added to the object. For each new value, a new object is created.

Might change occasionally in some cases

IPAddress.String

Property

A property called IPAddress is added to the object, and a value is stored. If the value changes, a topology change event occurs.

Might change every collection

State.StringObservation.obs

Observation

Like a metric: one value is stored per collection

By default, any metric that comes into the system does not have a unit assigned. This means any numeric value have the unit count. This quite often does not matter early on in agent development. But without units, in the browser interface, you see this the following type of output in script agent views:

The above graph should show a CPU usage percentage over time, however instead of percentage, the view shows the count, which is not very helpful.

In a script agent, it is possible to set the unit using the last part of the field syntax:

The possible units are listed below:

billion, billionth, million, millionth, thousand, thousandth, trillion, trillionth

bit, byte, exabyte, gigabyte, kilobyte, megabyte, petabyte, terabyte

day, hour, microsecond, millisecond, minute, month, nanosecond, second, year

percent

count

Units can be combined to make meaningful rates. For example, a disk I/O rate can be assigned a unit of megabyte/minute using the following line:

A modified version of the script appearing in How script agent data is represented in Foglight 5 now includes units for CPU, Memory and Disk. It also includes a DiskIO metric that has a compound unit.

echo CPU:percent = 90
echo Memory:megabyte = 55
echo Disk:gigabyte = 20
echo DiskIO:megabyte/minute = 13
echo CPU:percent = 78
echo Memory:megabyte = 35
echo Disk:gigabyte = 43
echo DiskIO:megabyte/minute = 17
echo IPAddress.String = 10.4.21.14
Figure 13. A view resulting from the above script now includes disk, diskIo, memory, and cpu metrics, each on a separate line in the graph.

It is therefore highly recommended that you put units in all of your metrics. It makes your gathered data much more readable in the user interface.

Not all field names are available. Many field names are reserved. The reason for this is that script agents create objects for each TABLE entry. These objects extend a type called F4Table. This type already has properties defined. You are not allowed to replace those properties with new ones as this causes problems with how models hold together.

It is possible to figure out exactly what property names are reserved by looking at the type definitions for F4Table and its parent classes. The type hierarchy looks like this:

It is also worth mentioning that starting in version 5.5.0, the property names that appear are proper words and are not the exact property names.

objectID, id, version, topologyObjectId, topologyObjectVersionId, topologyObjectVersion, effectiveStartDate, effectiveEndDate, lastUpdated

name, longName

scheduleIds, isBlackedOut, annotations, parents

alarms, aggregateAlarms, localState, aggregateState, localStateSeverity, aggregateStateSeverity, aggregateAlarmState, alarmWarningCount, alarmCriticalCount, alarmFatalCount, alarmTotalCount, alarmAggregateWarningCount, alarmAggregateCriticalCount, alarmAggregateFatalCount, alarmAggregateTotalCount, changeSummary, changeCount, aggregateChangeCount

topologyTypeName, topologyObjectSize

monitoredHost, monitoringAgent

Here is a sample script that includes fields that conflict with reserved names:

The failure mode is shown below. Note that in this case, a reserved word conflict is fatal on the first instance. We only see an error for id because it is the first field name. The remaining reserved words do not show up in the log because the agent fails.

When you write a custom agent script, upload it to Foglight and build the agent package.

2
On the navigation panel, under Dashboards, click Administration > Tooling > Script Agent Builder.
By default the Auto Generate Version check box is selected. This means that Foglight assigns the version number to the cartridge, starting with 1.0.0, and incrementing by 0.0.1 on each subsequent upload of the same script. If you want to override this behavior, clear the Auto Generate Version check box and in the Cartridge Version boxes, type the desired version number.
Click Build Script Agent.
The Build Agent Confirmation dialog box appears, asking you to confirm the build operation.
The Build Agent Confirmation dialog box shows that the agent you are about to create includes two components: an agent component and a cartridge component. That is because in Foglight each agent requires a cartridge component that contains topology definitions and default agent properties while the agent component acts as a data collector. When you create script-based agents, the name and version number of the agent component are identical to the name and version number of the cartridge component.
5
In the Build Agent Confirmation dialog box, click Submit.
The Build Agent Confirmation dialog box closes. A progress bar in the Build Script Agent dashboard indicates that the upload operation is in progress. After a few moments, the Build Script Agent dialog box appears, indicating a success.
6
In the Build Script Agent dialog box, click Continue.
The Continue to Agent Status dialog box appears.
8
Click Go to Agent Status.
The Agent Status dashboard appears in the display area.

To enable the script agent to collect data, follow the standard work flow for deploying agents. First, deploy the script agent package, and create and activate script agent instances. For more information, see Configuring Foglight Agents for Host Monitoring.

Script Console

Use the Script Console dashboard to inspect the collected data by selecting the objects of a particular topology type and viewing the data that they contain. You can use it to, for example, see the result of a scoping query, or to run scripts at the request of Quest Support, or for other maintenance functions. You can also test sample scripts from this dashboard. This feature is available to users with the Administrator and Cartridge Developer roles.

This dashboard allows you to select an object type and list the instances of that type either by listing all instances of a type or by scoping on specific instances using a query.

Figure 16. To view the object properties on the Properties tab, select an object instance from the list.

Figure 17. Use the Scripts tab (located next to the Properties tab) to write and manage scripts.

For more information, see the following sections:

Use the Script Console to inspect collected data by selecting an object and viewing the property values of the related data. You can also use it to see the result of a scoping query whose results appear in the list of object instances. This information is displayed in the top part of the Script Console. When you specify a query, and click Do Query, the list is populated. It contains the following columns:

ID: Contains the object ID.
Name: Contains the object name.
Type: Contains the object type.
Monitoring Agent: Contains the name of the monitoring agent. By default, this column is hidden. This information is important if you have monitoring agents whose definitions include objects of the same type and name, such as the legacy Cartridge for Operating Systems agents. Having this column allows you to inspect the objects from specific agent definitions.
1
On the navigation panel, under Dashboards, click Administration > Tooling > Script Console.
The Properties tab refreshes, showing the properties and their values for the selected object instance.
The Object Type Hierarchy area displays the hierarchical relationship between the selected topology type and its parent types. The parent types that appear are selectable: clicking a parent type, the object type appears in the Query view. Clicking List Instances in that view or writing a query to scope on specific object instances of that type shows the selected objects of that type.

In addition to inspecting objects and collected data, the Script Console allows you to write and run scripts, and save them for future use. For example, you can test sample scripts, or run scripts at the request of Quest Support, or for other maintenance functions. This feature is available to users with the Administrator and Cartridge Developer roles.

The Scripts tab displays the following columns:

Script Name: The script name.
Cartridge Name: The cartridge name associated with the script. When you create a script, you have the option to associate the script with a cartridge for class loading. The associated cartridge classes are loaded first during script execution, improving its performance.
Script Topology Type: The topology type of the scoped object. This column is only populated when you scope on an object and your script references the scope.

A note in the top-left indicates the existence of a scoped object: No Scoping Object Selected or Current Scope Object is object name (type). Scoping on an object allows you to reference the selected object in your script using the scope variable.

Clicking Launch Service Layer Documentation opens the Java API documentation for the Foglight Service Layer. If you are using Foglight services in your script, use this information as reference.

The Add button opens the Run Script dialog box that allows you to quickly write, run scripts, and save them for future use. A collection of saved scripts is user-specific: a saved script is only accessible by the user who created it.

Clicking a script name also opens the Run Script dialog box that allows you to quickly edit and run the script.

The left-most column in the table contains check boxes that allow you to select one or more scripts, and delete the selected script by clicking Remove Selected. Select All and Select None selects all scripts and clears all selections, respectively.

1
On the navigation panel, under Dashboards, click Administration > Tooling > Script Console.
a
In the Script Console, in the Query view, type a query to retrieve objects of a specific type and then click Do Query.
For example: !FSMSystemService where name like 'All Hosts'
The Script Console refreshes, showing the selected object’s ID in the Object ID box, and its property values on the Properties for All Hosts tab.
c
On the Properties for All Hosts tab, scroll down to the definition property and click its value.
d
In the Values List, click All Hosts.
The selected All Hosts object instance of the FSMDynamicManagedComponent type is now the scoped object.
4
Click Add to start writing a new script.
NOTE: If you scoped on a topology object in Step 2, this is indicated in the title of the Run Script dialog box.
In the Run Script dialog box, in the Name box, type the name of the script you are about to create. For example: My Sample Script.
In the Enter Script Text box, type your script.
For example, to retrieve the value of the selected FSMDynamicManagedComponent object’s components property, type the following line:
7
Optional — To associate the script with a specific cartridge for class loading purposes, click Choose an Associated Cartridge (Optional) and select a cartridge from the list that appears. Associating a cartridge with the script ensures the cartridge classes are the first to load during the script execution, improving its performance.
8
Click Run to run the newly edited script.
In the Run Script dialog box, the List Viewer (or Script Output) tab shows the result of the script.
If any log messages are generated during the script run, they appear on the Log Messages tab. The script example used in this procedure does not result in any log messages being generated. If you want to see an example of this feature, you can type the following script and then examine the log message on the Log Messages tab.
If the script returns an object, the Help tab displays the object type and a collapsible list containing the public methods defined in the object’s class and their prototypes. For more information about this tab, see Retrieving information about named scripts, services, and classes.
If you scoped on a topology object in Step 2, scope appears in the script, and the scoping object is null, an Error message is logged.
If you scoped on a topology object in Step 2, scope appears in the script, and the scoping object is a different type than the saved scoped object type, a Warning message is logged.
9
Click Save to save your changes and close the Run Script dialog box.
The Run Script dialog box closes and your newly created script appears in the list on the Scripts tab.
If you scoped on a topology object in Step 2 (scope appears in the script) and the scoping object is null, a Warning message is logged, indicating that the scoped topology type is not changed. The name of the scoped topology type appears in the Scope Topology Type column.

The Script Console allows you to export existing scripts to XML format, and to import scripts into the system.

Exported script files use the following XML format:

<script name="<script_name>" cartridge="<cartridge_name>" scopeTopologyType="<scoped_type>">
<script_body>

The XML file name uses the following format: exportedScripts<file_ID>.xml. For example: exportedScripts988888578404711052.xml.

It is possible to export multiple scripts into a single XML file. This causes every script to be enclosed in its own <script> element. The XML can include as many <script> elements as required.

Imported scripts take precedence over the existing scripts, so an imported script overwrites any scripts of the same name if they exist on the system. You can import any scripts that are exported from the Script Console. Alternatively, you can write XML files containing one or more scripts, and import them into the system, assuming that the file content follows the supported XML format.

1
On the navigation panel, under Dashboards, click Administration > Tooling > Script Console.
3
On the Scripts tab, select the check box in the row containing the script that you want to export.
4
Click Export Scripts.
1
On the navigation panel, under Dashboards, click Administration > Tooling > Script Console.
3
On the Scripts tab, click Import Scripts.
4
In the Import Scripts from File dialog box, click Browse and navigate to the XML file containing the script that you want to import.
5
Click Import.
6
Close the Import Scripts from File dialog box.
The Scripts tab refreshes, showing the newly imported script in the list.

Your scripts often need to reference named scripts, service layer methods, and topology objects. The Service Layer API documentation can be quickly launched from the Script Console, but it does not give you syntax information for calling named scripts or invoking object-related methods.

The Help tab, available in the Run Script dialog quickly provides the information you need after typing a desired help command in the Enter Script Text box and clicking Run.

Also, if a script returns an object, unless the returned object is a String, the Help tab displays the object’s type along with a collapsible list containing the public methods defined in the object’s class and their prototypes. This on-hand reference information can help you quickly write additional scripts to obtain additional information about the retrieved object.

The help command allows you to display its syntax, list named scripts, service layer methods, class methods, and to drill down on a named script, service, or service layer method. For complete information, see the following sections:

This command provides syntax information for the help command.

This command lists all named scripts, including the scripts that come with the server, and any installed cartridges. The list is alphabetically sorted and includes a search tool. Clicking or hovering over a script name on the Help tab shows the script’s syntax information, description, and argument descriptions in a separate dialog box.

The completeness of this information depends on how well the script is documented.

help("script_name")

With a script name passed as an argument, this command displays the script’s syntax information, description, argument descriptions, and examples.

The script name is case sensitive and does not include script arguments. For example, to display information about the script adjustHostName(arg), type help("adjustHostName"). Typing help("AdjustHostName") or help("adjustHostName(arg)") results in an error: AdjustHostName is not a valid script name.

The completeness of the displayed information depends on how well the script is documented.

This command shows the server services and the methods available for each service in a navigation tree.

Expanding a service node in the tree displays the methods defined in the service. The list of services provides a search tool.

Syntax information is provided for each method, including the return type, method name, and arguments. Clicking a service or method shows Java documentation for the selected component in a new browser tab or window.

help(class_name|object)

When a fully qualified class name or a specific object instance is passed as an argument, this command lists the public methods defined in that class and provides their syntax. The methods appear as nodes in the navigation tree, with the class name as a collapsible root node. A search tool is also provided.

For example, scoping on a object instance in the Script Console and typing help(scope) displays the scoped object’s class name in a navigation tree. When expanded, the class node shows a list of public methods available for that class.

The Agent Manager Adapter, included with the Management Server, includes the agent_restore script that allows you to restore agents that appear disconnected after a server failure. It recreates any agent instances that are known to the Management Server that were deleted on a Agent Manager host. Use the Script Editor dashboard to run the script.

agent_restore([["runAsync", "boolean value",] ["batchSize", "int value",] ["batchSleep", "int value in ms",] ["activate", "boolean value"]]|"help"]);

activate

true or false

Activates the agents after recreating them. Setting this value to false restores the agents to their last known state. The default is false.

batchSize

int value

Specifies the number of agents to restore in each batch. The default is 25 agents per batch, -1 disables the operation.

NOTE: When runAsync is set to true, it is recommended to have a lower number of agents per batch to prevent the server from being overloaded, as under this mode, the script sets the incoming agents to their last known state. This may involve not only recreating the agents but also activating them.

batchSleep

int value in ms

Specifies the time in milliseconds to sleep between batch runs. The default is 30000 ms.

help

Prints the syntax and argument usage information.

runAsync

true or false

Initializes the agent’s restore operation asynchronously. The default is false.

NOTE: Setting this argument to true forces the activate parameter to false. This is because an asynchronous restore operation has no means to determine when an agent is restored.

Query Language

Foglight collects data from host systems and uses that data to build topology models at run-time. Each monitoring environment can include one or more topology models. The basic building blocks of each topology model are nodes, that represent object instances, and their logical relationships. Additionally, each monitoring environment includes a collection of topology types. A node in a topology model is always associated with a topology type.

The nature of the monitored environment dictates the structure and complexity of each topology model and the collection of available topology types. A basic installation of the Foglight Management Server includes a set of core topology types and each separately distributed cartridge adds to that collection.

In the browser interface, the Data dashboard shows the available topology models, their data nodes, and the hierarchical relationships between the nodes. Similarly, the Schema Browser dashboard shows the topology types and allows you to view the parent-child relationships, properties, and instances for each topology type. Use these dashboards to better understand the collected data, as reference points. For more information, see the online help pages associated with these dashboards.

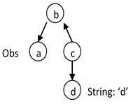
The topology can be thought of as a directed graph with nodes representing topology objects and edges representing topology property relations. This sectiontopic shows how to form queries on an abstract graph regardless of how properties are set up, or in the abstract world, edge direction. In the following graphs, it is assumed that a property of name x (lower case) is of type X (upper case).

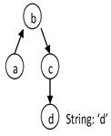
Consider a topology type B that has an observation property a and a regular property c. c has a property d that is a String.

Figure 27. The graph for a topology object b of the topology type B looks like this:

In the following queries, we retrieve a using an important filter consisting of a literal matching pattern between the d property and the d literal value (d = 'd'). In the following examples, note how the positions of the nodes in each graph are the same, while the edge directions are different.

a from B where c.d = 'd'

Explanation:

This query filters all topology objects of B type and retrieves their a observations.

a from (C where d = 'd').b

Explanation:

The query filters all topology objects of type C, retrieves their b properties followed by retrieving the a observations from that set of b properties.

(B where c.d = 'd').a

Explanation:

The query filters all topology objects of type B and then retrieves the a objects from that set of b properties.

A where b.c.d = 'd'

Explanation:

The query filters all topology objects of type A.

A where b in (C where d = 'd').b

Explanation:

The query filters all topology objects of type C, and forms a set S of the results’ b property objects. Then it filters all objects of type A by checking that their b property is in S.

(C where d = 'd').b.a

Explanation:

The query filters all topology objects of type C and uses the resulting set as the base to find the desired a properties.

Topology queries can be in a simple form, or become as complex as needed to find just the topology objects you want.

This tutorial begins with a query for the set of all EJBInstance topology objects that exist in your environment. The syntax for this query is:

The exclamation mark says that this is a topology query, and is followed by the Topology type name. The above expression illustrates a very compact syntax.

You can filter topology objects by their properties. For example, if you want just those EJBInstances who have their name property set to inst1-1, express your query in the following way.

The where is a filter, functionally similar to an SQL WHERE. If you like keeping your query compact, you can replace the where keyword with a colon. It has the same meaning.

In addition to querying properties with specific values, you can also write queries that select objects with null properties. To do that, use the null keyword preceded with a dollar sign ‘$’. Depending on the context in which the query is used, in some cases you need to escape the dollar sign ‘$’ with a backslash ‘\’. For example:

qs = server.get("QueryService")

objs = qs.queryTopologyObjects("Host where os = \$null");

When searching for null values in embedded queries, there is no need to use the backslash ‘\’. For example:

objs = #!Host where os = $null#.getTopologyObjects()

To write fast queries, it is important to know how the Query Service works. Let’s examine how our query is evaluated.

When the Query Service evaluates this query, it first retrieves the set of all EJBInstance objects, checks each one to see if the name is equal to inst1-1, and finally returns the subset of objects that match.

Without knowing anything about the topology, it is impossible to say whether this query completes quickly or slowly, depending on the number of EJBInstance objects in your environment. This could be a fast query if the set of EJBInstance objects is small, or a slow query if the set of EJBInstance objects is large.

As a query writer your rule-of-thumb is to keep the set small. To do this you need to understand the topology model, and any options you have available in writing queries.

For example, let’s say you want those objects whose type contains the word Catalyst. A common first attempt would be to make a query for all TopologyObject instances whose topologyTypeName property contains Catalyst.

Another way to achieve the same goal is with this next query.

Which form of the query should you choose? The first query scans the set of all topology object, of every type, checking each object’s topologyTypeName property. In a typical system there will be hundreds of thousands of topology objects so the set is quite large.

The second query scans the set of topology types, matches them against the regular expression /.*Catalyst.*/, and finally returns all topology objects on the matching types. The scanned set here is typically only hundreds of types, so it’s relatively small. You should choose the second query.

If you know the exact names of the data types that you want to query, using those name is the most efficient way. For example, the following expression retrieves all hosts and agents that exist in your system:

Filters can contain multiple conditions. The following query retrieves those EJBInstance objects whose name is Alice, Bob, Carol, or Dave in an inefficient manner.

For every EJBInstance Topology object, the query engine performs the following steps:

1
Accesses the name property and checks if it is equal to Alice, returns the object if it is, otherwise goes to Step 2.
2
Access the name property and checks if it is equal to Bob, returns the object if it is, otherwise goes to Step 3.
3
Access the name property and checks if it is equal to Carol, returns the object if it is, otherwise goes to Step 4.
4
Access the name property and checks if it is equal to Dave, returns the object if it is, otherwise discards the object.

The above query assesses the name property four times, once per condition (Alice, Bob, Carol, or Dave). You can make your query faster by reducing the number of conditions, and therefore, the number times you access the name property. For example:

The second query takes the full set of EJBInstance topology objects, and for each object will perform the following operation.

Access the name property and checks if it is equal to Alice, Bob, Carol, or Dave, returns the object if it is, otherwise discards the object.

In this case the name property is retrieved only once per object, rather than four times.

This section is a catalogue of the options you have to make queries. It is broken down by the structure of how a query is put together. Every query has the same common form:

SetOfTopologyObjects : Property Operator Value

Let’s look at each part of the form separately.

There are several ways to describe the SetOfTopologyObjects element:

This is the basic way to define a set of topology objects.

!ExampleType

This query element goes to the Topology Service with the ExampleType topology type, including all its sub-types, and retrieving all the topology objects of those types.

This is an advanced form of the topology type name. What it does is it builds a topology type definition and then retrieves the objects that meet that definition. There are many different options that you can use to extend and restrict the topology type definition that you are building. The general form for the $objectsbytype() element is as follows:

$objectsbytype(typespec1, typespec2, …)

The $objectsbytype() element reads the list of type specifications and generates a resulting set of topology types. Once the type reading is complete, it retrieves all topology objects for each of the types it finds. Objects from the sub-types are automatically collected if a super-type makes it into the resulting set, even when the objects of the sub-type themselves do not directly meet the specification. We will see how this works soon in Multiple type specifications.

Next, you learn about the The type specification format.

The type specification format

The simplest type specification is just a basic topology type name.

$objectsbytype(ExampleType)

So far, this is functionally identical to the !ExampleType syntax. The difference is that it can now be made more exact by restricting the object types to those that came from a certain cartridge and version. If you just want to just specify the cartridge, add the cartridge name with a colon:

$objectsbytype(ExampleType : ExampleCart-5)

It can be further restricted by specifying the cartridge version:

$objectsbytype(ExampleType : ExampleCart-5 : 1.0.0)

If you are not sure of these names, or you want to match multiple types or versions with a single specification, cartridge names or versions can be replaced with a Java regular expression:

$objectsbytype(/.*Example.*/ : /ExampleCart-.+/ : /1\..+/)

The above query returns all of the objects of the matching types and their sub-type objects, regardless of their sub-type names and cartridges.

Regular expressions that use this element can also be specified without $objectsbytype. For example, both of the following expressions are valid:

!$objectsbytype(/T/)

!/T/

Multiple type specifications

Additional types can be added with a comma. For example:

$objectsbytype(ExampleType : /ExampleCart-.+/, CatalystService)

This will get you all the objects of ExampleType from any ExampleCart, plus the CatalystService objects.

Besides adding on more types you can remove types from the match:

$objectsbytype(CatalystService, !/.*Data.*/)

The above query returns all of the CatalystService objects excluding those with Data in their type name. The exclamation point here means exclude.

How multiple type specifications work

Processing a multiple type specification works by parsing the list of specifications from left to right and keeping a set of types that make the match so far. Each positive specification (without an exclamation mark) adds new types to a set of types, while each negative specification (with an exclamation mark) subtracts from that set.

This approach gives a lot of flexibility. Consider a type hierarchy A?B?C, where A is the super-type of B, and B is the super-type of C. If we want to query for objects of types A, B, and C, then we can write the following:

Let’s change it a bit. Suppose we want objects of types A and C, but not B. In that case, form the query in the following way:

As the query parser scans the multiple type specifications from left to right, it performs the following actions and maintains the working set in the following states.

Initialize working set

{}

Add A, B, C

{A,B,C}

Remove B,C

{A}

Add C

{A,C}

As you can see, the order of the type specifications is important. For example, switching around !B and C to $objectsbytype(A, C, !B) returns a working set of types that contains only the A type ({A}).

If a query appears within a rule or a script, it includes a scoped topology object. For example, a rule can be scoped to the set of JVMs you are monitoring. Prior to this rule being evaluated, the set of all JVMs is retrieved with the following query:

Then, at evaluation time, the rule executes its evaluation code for each JVM object in that set. In this example, queries within that evaluation code can use the $scope variable to get their particular JVM object against which they are run.

$objectsbyid() can be used to explicitly point to certain objects by their unique IDs:

$objectsbyid(uniqueId1, uniqueId2, …)

Here is an example that identifies a set of three topology objects by their IDs:

$objectsbyid('510b5d753913', 'ba23c8a3f8dc', '4c62cd4228ff')

It works by directly asking the Topology Service for the latest versions of these objects.

Negation of $objectsbyid is ignored. For example, the following expressions are equivalent:

and

A topology model is a set of object nodes and links between them. The links are called properties, and as a whole, the set of topology objects and their properties form a model that you monitor with the Foglight Management Server. For any topology object, its properties can point to other topology objects, which in turn have properties that point to other topology objects, and so on.

The result of evaluating a property path is a SetOfTopologyObjects. The general form of the property path is:

root.propertyName.propertyName

The root of the path can be any of the forms for defining a SetOfTopologyObjects. Here are examples of each element with property path examples.

(JVMGarbageCollector).jvm.localStateSeverity

$objectsbytype(/JVM.*GarbageCollector/).jvm

$scope.jvm.localStateSeverity

$objectsbyid('0193339a9c27').jvm

The result of walking a path is the set of objects from the end of the path. For example, the path in the first example, (JVMGarbageCollector).jvm.localStateSeverity, returns a set of AlarmSeverity objects. These are the localStateSeverities from the JVMs of all JVMGarbageCollectors that exist in the topology model.

Property typing

Property paths are static in nature. Properties are associated with topology types and not the topology objects.Topology objects contain property values. The query engine interprets property paths by evaluating properties from the topology types, and then populating the resulting path with the values associated with the related topology objects.

When you write a query, you are working with type properties. It doesn’t matter if all of the selected objects all have the property referenced in a query, what counts is the property type. This illustrated in the following example:

In this query, we find every TopologyObject object whose topologyTypeName property matches the regular expression '.*GarbageCollector', and from that set of objects, we retrieve the 'jvm' property. It is very likely that every TopologyObject object whose name matches '.*GarbageCollector' does have a jvm property, but the query engine is not aware of this. Instead, while it builds the path, it looks strictly at declared types, and sees that you are trying to reference the jvm property from a TopologyObject object.

The following example results in an error:

(TopologyObject : {with some filter}).jvm

That is because the TopologyObject type does not include a jvm property. The right way to do this query is by using $objectsbytype():

In this version of the query, we are working directly with types. The query engine finds the least common ancestor of all types that match the regular expression. If that type has a jvm property, then the query retrieves one or more values, otherwise it throws an error.

Collection properties

Collection properties hold more than one topology object. Usually the type of this collection property is the TopologyObject type, so that it can act as a collector of objects. Unfortunately, this makes it hard to reference properties out of them. An example collection property is a Host object’s detail property:

The detail property is a collection of TopologyObject objects. They can all be RemoteClient objects that include agentAdapterName properties, but you cannot get to that agentAdapterName property because you are trying to de-reference it from the TopologyObject type. For that reason, the following query is invalid.

The right way to perform this query is as follows.

In the above example, agentAdapterName is now referenced from the RemoteClient type. This query also introduces logical operators and the $object keyword. These are explored in Properties .

The Basic type example from A walk along a property path is actually a special case of a more general use. Instead of putting a topology type name in the parentheses, you can insert a complete topology query.

Or:

This allows you to introduce filters along the property path.

The first example finds those JVMGarbageCollector objects and filters them to obtain only those which contain the Gen sub-string for Generational collectors. It then goes from that set, off to their jvm objects, and finally to the localStateSeverity objects.

The second example starts at the scoping object, walks to its jvm objects and then filters those by names ending with a 1. After filtering, the query uses the remaining topology objects to find their localStateSeverity objects.

For sub-queries without filters, there is no need to enclose them in parenthesis. For example:

And:

This concludes what you can do to create a SetOfTopologyObjects. The next topics cover the WHERE clause, breaking it down into two parts:

The query engine interprets properties and property paths in filters just like property paths in the definition of the SetOfTopologyObjects with some differences. The basic behaviors are described in Property typing and Collection properties .

The differences between how property paths are interpreted in SetOfTopologyObjects and those in filters are as follows:

The root in a filter’s property path is inherited from the set passed out of the SetOfTopologyObjects, rather than defining one itself.
Besides ending in TopologyObject objects, the tail of the filter’s property path can also be String, Boolean, or Numeric objects.

Our first example query in this tutorial illustrated the first two differences. When we say the following:

This means that name is a property of the EJBInstance topology type, and each topology object of the EJBInstance type includes a value for that property. In this case, the property path length is one, and the tail value is a String.

There are cases where you want to make checks against topology objects coming out of the SetOfTopologyObjects themselves, rather than one of their named properties. In this case you can use $object instead of the property name. We have an example in Collection properties that uses $object.

To simplify the example, you can drop the condition on the agentAdapterName property:

The above statement instructs Foglight to retrieve all RemoteClient topology objects, where those objects ($object) appear in Host objects’ detail property.

In a sense, there is an implicit $object prefix in all property uses. The query !EJBInstance : name = 'inst1-1' can be rewritten to use an explicit $object. There is no difference, it is just more verbose:

The $object.name property is actually a property path. There is no length limitation on property paths within the filter. The only difference from SetOfTopologyProperty paths is that you cannot introduce filtering WHERE clauses into these property paths. For example, the following query is incorrect:

Instead, re-write the above query in the following manner:

This query returns those JVMGarbageCollector topology objects whose jvm name is x and the localStateSeverity property is the scoping topology object.

This topic describes the following operators that you can use in queries:

The in operator has two meanings. It can mean that the tail of the property path appears in:

Explicit set of strings

We use the first form of in when we want to say that a property has one of a number of String values:

The above query returns those EJBInstance topology objects whose name property matches inst1-1 or inst1-2. It is preferable, to saying:

A set of topology objects

The second form of in is used to say that the tail of a walk along a property path is a member of another set of topology objects:

The like operator tests the equivalence of a property value and a SQL-type expression. For example, the following query retrieves one or more hosts whose name uses the pattern %.mydomain.com.

Similar to like, matches tests the equivalence of a property value and a Java regular expression. For example, the following query retrieves object instances of the J2EEExecuteQueue type whose name uses the pattern Nexus.*.

For more information about regular expressions and the syntax that you can use in Foglight, see the Command-Line Reference Guide.

The isa and instanceof operators check if an object instance is an instance of a particular type. For example, the following query returns all Host object instances whose detail property if of the type RemoteClient.

The topology model has a tree-like structure. In that structure, an object can contain one or more child objects, that, in turn can contain one or more child objects, and so on. The existence of these parent-child relationships can be tested using the contains and within operators. These operators are followed by an indicator that defines the number of levels in the topology model that are selected by the query, relative to target object. The indicator is comprised of the caret sign, ‘^’, followed by a number that specifies the number of levels, or inf, that stands for no limit. For example, ^2 indicates that the query is issued against two levels above (in the case of within) or below (in the case of contains) the selected object in the topology model, while ^inf indicates that all levels are selected.

The contains operator checks if an object contains a particular child object within a specific set of the topology model. For example:

The within operator checks the if an object is contained within particular a parent object. For example:

The equals operator tests the equivalence between a property value and a given literal value. For example, the following query retrieves those EJBInstance object instances whose name property is set to inst1-1:

The union operator is used to combine results of several sub-queries.

union ( query1, query2, … , queryN )

!union( Host, JVM )

!TopologyObject where $object in union( Host, JVM )

A query can contain one or more numeric comparisons in the WHERE clause. They can be used to compare two numeric values. For example, the following query returns those Host object instances that have no existing warning alarms.

Additionally, to compare date and size values, you can use the Date and size functions.

Any of the above operators can be negated by prefixing the operator with either an exclamation mark ‘!’ or NOT. The following statements are all equivalent.

You can use the logical operators AND and OR. For example, the following says that either of the conditions is met.

If you want to write a complex condition with numerous AND and OR operators, you should use parentheses to explicitly define how the logic works. The two following examples show how different parentheses can yield different logic.

Example A

Example B

Examples of using OR

Examples of using AND

These functions create date types for comparison with date properties.

date( year, month, day )

NOTE: The timezone parameter is the same as the time zone ID in the TimeZone class. For more information, visit: http://download.oracle.com/javase/1.4.2/docs/api/java/util/TimeZone.html

collectionOrArrayOrStringProperty.size()

!Type where collectionOrArrayOrStringProperty.size() = 1

NOTE: When using the size(stringNamedParameter) format, only String-type parameters are accepted. In practice, this limitation means that instead of:
!Type where prop.size = size(:collection)

you should pass the collection size as the parameter:

!Type where prop.size = :collectionSize
:paramName

Parameter values are set using com.quest.nitro.service.sl.interfaces.query.IQueryStatement.setParam(String, Object).

NOTE: Automatic collection expansion in IN {}, $objectsbyXXX: The new query engine expands collection values when appropriate for the named parameter usage.

The use of syntax shortcuts such as ‘->’, ‘:’, ‘,’, ‘|’, ‘||’, ‘&’, ‘&&’, and ‘!’) is supported, but not recommended. With that in mind, the following expression is still a valid query:

The above expression is equivalent to:

The use of syntax shortcuts is supported but discouraged.

:

where

->

instanceOf

|

or

||

&

and

&&

!

not

The query engine supports escaping of query elements to enable backward compatibility. For example, \char is replaced by char. Additional examples:

\\

\

\"

"

\'

'

\y

y

The syntax reference described in this section uses the following conventions:

In this section, reserved words are written using upper case to improve readability. In general, reserved words are case insensitive. For example, both of the following expressions are valid:

!$objectsbytype(T) where $object instanceof Q

and:

!$objectsByType(T) where $object instanceOf Q

Character literal.

[ element ]

Optional element.

element1 | element2

Element 1 or element 2.

( grouped elements )

Grouping of elements.

The element is repeated zero or more times.

The element is repeated zero or more times.

(* Comment *)

Comment.

Begin by looking at the queries that are strictly within the domain of the Topology Service. A simple example would be querying for all topology objects of type EJBInstance.

We will now look at the following example.

Type the following:

You can filter the set of topology objects that you get back based on their properties. For example, if you want all EJBInstances who have their property name set to inst1-1, then you would express your query in the following manner.

Additional property conditions can be added using a comma as a separator, as follows:

Add an extra condition is with an and instead of the comma:

The query language also supports ‘or’ and precedence with parentheses.

The and/or keywords have convenient shortcuts. In place of an and you can use & or && and in place of an or you can use | or ||. There is also an alternative syntax for not equals (!=), which is <>.

So far, we have only used exact string matching. We can also use limited regular expressions with the like operator. To get all the EJBInstances where the name starts with “inst”, write the following query:

Besides the percent sign ‘%‘, the other regular expression element that you can use is the underscore ‘_‘, which is a required match to any character.

You can also ask for an exact match from within a set of strings.

You can specify the negation of a condition. For example, if we want only those EJBInstances whose name does not start with inst we can change the above query as follows:

Equivalently, we can write any of the following.

Note that if a not is put before a comparison, then the entire comparison must be enclosed in parenthesis.

Property conditions can express programmatic relationships. For example, if you want all EJBInstances where the name property of the EBJInstance’s application property is set to app1-1, write the following expression:

When a query is made, it can be made within a scope. A scope is simply a handle to some known topology object and is represented in the query by the keyword: $scope. If you want to find all siblings of the current EBJInstance according to their ejb, write the following expression:

There is one more way to do filtering, and that is by checking whether a topology object is a particular set of objects. For example, if you want to query for all EJBInstances on the same server (the property we are interested in) that the current scoping EJB is on, use the following expression:

(EJBInstance where server in $scope.instances.server)

Finally, a topology object query can be used as the base of a programmatic walk through object properties. For example, if you want all the EJBInstances from all EJBs that are named ejb1, you can first ask for the EJBs and then look at their instances. To do this use the following expression:

As you might expect, this query can have filtering conditions applied to it, too. If you want to retrieve only those EJBInstances from above who additionally have their names starting with inst, use the following expression:

Another way to write this query is as follows:

There are two differences between topology queries and metric queries. One is that you prefix your query with a metric name and optionally suffix your query with a time period. The other is that there are fewer parentheses required because you’re using the keyword from.

Foglight agents collect metrics from monitored hosts and send them to the Foglight Management Server in batches. The length of an agent's collection period for a batch is specified in the agent properties. A metric query that includes a time component retrieves the batch of data that exists on the server at the time specified by that time component, not the batch of data collected at the time specified by the query, as it may be expected. For example, the query ruletteCount at 15:00 on 2007-09-26 retrieves the batch of data for the ruletteCount metric that exists on the server at 15:00. As seen in the example below, the start and end time of the collection period for that batch indicate that the collection period started at 14:22 (startTime) and ended at 14:59 (endTime).

f0484b82-186e-4d97-b2d0-6d0d2fb3db98

9/26/2007 14:22

9/26/2007 14:59

2250000

75

0

35

22.86666667

1715

56425

15.1475704

For example, if you want to get the collect the invocationTime for all EJBInstances over a period of 1.5 hours, write the following expression:

You can also use a registry variable (here called myDuration associated with the current scoping topology object to specify a time period.

As mentioned above, you can still use the mechanisms associated with topology queries. For example:

Also, if you have a scoping EJBInstance topology object you could query for its invocationTime in the following way:

Because this is a common idiomatic case for the Rule Engine, there is a short-hand for from $scope in the above.

In this case, the language interprets that there is no sub-query for topology objects, so it assumes that the invocationTime metric is attached to the current scoping topology object. It implies a $scope clause in the query.

The time period is optional. If you just want a current invocationTime from the current scoping topology object, write the following expression:

Time periods can be used for baselining. The idea is that instead of querying for recent metrics based on the current time, you can get older metrics from either a certain date or an offset of a number of days, weeks, months or years into the past.

The first way to do this is to append an ago clause.

This statement looks at the current time, chooses the same calendar instant from week ago, and selects the 1.5 hour period immediately prior to that 1 week ago instant. For example, if it is currently Monday morning at 9:00 AM, this statement goes back to last week’s Monday morning and select the invocation time from 7:30 AM to 9:00 AM. Note that leaving off the ago clause will produce the same period of time (except on today) allowing for apples to apples comparisons with visually similar queries.

The second clause we can append is an on clause.

This works the same way as the previous example, except that instead of using a relative offset, we specify an absolute date to select the data from. Again, if it is currently 9:00 am, this query selects the data collected from 7:30 am to 9:00 am from May 25, 2009.

These clauses give wall clock equivalent comparisons, that is, they compare 9:00 am today to 9:00 am in the past. If you want to compare 9:00 am today to a different wall clock time in the past you can use a spanning clause.

The above query selects data from 1:00 pm to 2:30 pm on May 25, 2009. If you want, you can specify time ending at a certain point as well.

And finally, you can use the relative offset with a spanning clause.

Time zones can optionally be added to a spanning clause.

Examples of acceptable formats for the time zone are:

In general, any of the formats supported by java.util.TimeZone.getTimeZone() can be handled here.

Instead of asking for a metric over a period of time, you can also single metric at an instant. It works just like asking for the most recent metric, except the system pretends that the wall clock is set to the time you have specified. The way you specify wall clock time is by giving a 24 hour time value and a date. The 24 hour time value is optional and the date may either be an absolute date or an offset of a number of days, weeks, months or years into the past. The following examples show the different ways the syntax can look.

This query takes the most recent metric, pretending that it is 1:00 PM on Monday, May 25.

The use of a 24 hour clock, although preferred, is not mandatory. You can use the following expression to retrieve the same data set:

The following query retrieves the most recent metrics, pretending that it is 1:00pm, 2 days ago:

The following query instructs the query engine to take the current wall clock time, apply it to May 25, and find the most recent metric at that time.

And finally, the following query instructs the query engine to take the current wall clock time from 2 days ago, and find the most recent metric at that time.

Although the last two forms of query exist for completeness sake, they are not thought to be useful in a typical business scenario.

The scope of a rule defines the set of topology objects against which it will run. The scope of a derived metric defines the set of topology objects to which it applies. A rule or derived metric must be scoped to a topology type and can optionally be scoped to specific instances of that type (topology objects). If a rule or derived metric is not scoped to specific objects, it applies to all objects of that type.

Optionally, after selecting a topology type, it is possible to restrict the scope to specific instances of the selected type using the Scoping Query Editor, either by selecting specific object instances, using a property matching filter, or writing he scoping query manually.

1
Click Topology Type and select a topology type from the list that appears.
If the scope is valid, a confirmation message appears above the Topology Type box while the name of the newly-selected topology type appears in the box at the bottom.
4
In the box immediately below the Topology Type and Property boxes, edit the logical expression that matches the rule scope.
TopologyType where property = "value"
Where TopologyType is the topology type you selected in Step 1.
b
Click Property and select the property name from the list that appears.
In the above expression, select value and replace it with the property value.
If the scope is valid, a confirmation message appears above the Topology Type box while the name of the newly-edited expression appears at the bottom.
1
In the box immediately below the Topology Type and Property boxes, place the cursor where you want to insert the new segment of the scoping query.
The Scoping Query Editor dialog box opens.
3
Ensure that the Instances tab is open.
In the Topology Instances box, select one or more object instances.
5
In the Scoping Query Editor dialog box, click Insert Query.
The Scoping Query Editor dialog box closes and the scoping query (or scoping query segment) appears i immediately below the Topology Type and Property boxes.
If the scope is valid, a confirmation message appears above the Topology Type box while the name of the newly-edited expression appears at the bottom with the topology type instance referenced with its uniqueID property.
1
In the box immediately below the Topology Type and Property boxes, place the cursor where you want to insert the new segment of the scoping query.
The Scoping Query Editor dialog box appears.
3
In the Scoping Query Editor dialog box, open the Filter tab.
The Filter tab opens in the Scoping Query Editor dialog box.
a
In the Filter tab, click Properties and select a property.
b
Click is equal to on the right and select a logical operator from the list that appears: is equal to, is not equal to, is like, or is not like.
6
If you want to add more expressions to the filter, repeat Step 4 and set the logical operators at the end of each line as required.
7
Click Insert Query.
The Scoping Query Editor dialog box closes and the scoping query (or scoping query segment) appears in the box immediately below the Topology Type and Property boxes.
If the scope is valid, a confirmation message appears above the Topology Type box while the name of the newly-edited expression appears at the bottom with the topology type instance referenced with its uniqueID property.

You can use the syntax shown in one of the examples below to manually specify all or part of the scoping query in the box immediately below the Topology Type and Property boxes. This field is case-sensitive.

Use these examples only as guidelines with regard to the query language syntax. There are many additional ways of specifying a scoping query. For complete information about the query language syntax, see Topology query reference.

where TopologyType is the name of the topology type of which Object is an instance and Object is the specific instance to which you want the rule or derived metric to be scoped.
where TopologyType is the name of the topology type of which the topology objects with names like Object are instances. In the example shown above, the % wildcard causes the rule or derived metric to be scoped to all topology objects (of the specified type) with names that end with what you specify in place of Object.
where TopologyType is the name of the topology type of which Object is an instance and Object is the specific instance to which you do not want the rule or derived metric to be scoped.
where TopologyType is the name of the topology type of which the instances with names like Object are instances. In the example shown above, the % wild cards cause the rule or derived metric to be scoped to all topology objects (of the specified type) with names that do not include what you specify in place of Object.
where TopologyType is the name of the topology type of which Object1 and Object2 are instances; Object1 and Object2 are the instances to which the rule or derived metric will not be scoped.

A condition is the part of a rule that is evaluated against monitoring data. When creating a simple rule or when configuring a severity level for a multiple-severity rule, you must specify a condition.

Like rules, derived metrics can be scoped to topology types or object instances and contain an expression that is calculated at runtime. Foglight uses this expression to calculate the derived value.

You are editing a simple rule that is scoped to the topology type JVM; the condition for the rule is #threads_started#>10. You want to create a message (to use as the text of the email that is sent when the rule fires) that includes the value of the #threads_started# metric at the time when the rule fires.
Using the controls on the Severity Level Variables tab of the Fire tab, you create an expression called threadsNum whose value is #threads_started#. You then create a message called ProblemSynopsis. The value that you set for this message is:
In this message, the at sign ‘@’ is used to reference the threadsNum expression. When the message shown above is included in the email, @threadsNum will be replaced by the number of threads that were started at the time when the rule fired.
There is a registry variable called CPUFatal whose value is 90 for the topology object to which the rule you are editing is scoped. You want to reference this variable in the alarm message for the rule’s Fatal severity level, so you create an expression called CPU whose definition is registry("CPUFatal"). You then reference this expression in the rule’s alarm message: CPU usage is at @CPU%.
You are configuring the Critical severity level for an existing rule that scoped to all requests with names that include the element jdbc (the rule scope is RequestType where name like "%jdbc%"). You want an alarm to be fired for this level if the average execution time (over the last hour) for a request in the rule scope exceeds the limit set by the registry variable ExecuteTimeCritical.
After launching the Condition Editor dialog box, open the Function tab and select avg from the Function Name box. You then specify the argument for the selected function in the Arg1 field. For example, specify the execution time as an argument for this function by typing #executionTime for 1 hour# in the Arg1 field. Then click Insert to insert the function. The function and its parameter appear in the Condition field.
To complete the condition, you need to insert the appropriate operator and the registry variable. You place the cursor at the end of the condition and insert the the greater than ‘>’ operator. In the Condition Editor dialog box, you switch to the Registry Variable tab, select ExecuteTimeCritical from the list, and click Insert. The condition appears as follows:
You are creating a number of rules, each of which is scoped to a different EJB instance. You know that you need to configure the conditions for many of these rules to perform the same function (rate) on the same metric (#passivationCount#). Instead of doing this manually for each rule, you decide to create a derived metric that you can use in all of these rules’ conditions.
You use the fields and controls on the Create Derived Metric dashboard (Data > Create Derived Metric) to create a derived metric expression that calculates the passivation rate for EJBs.
After launching the Expression Editor dialog box, you open the Function tab and select rate from the Function Name box. You then specify the argument for this function in the Arg1 field. For example, specify the passivation count as an argument for this function by typing #passivationCount# in the Arg1 field. Then click Insert to insert the function. The function and its parameter appear in the Condition field.
1
In the display area, place the cursor in the Condition box (rules) or Expression box (derived metrics) where you want to insert the variable.
The Condition Editor (rules) or Expression Editor (derived metrics) dialog box appears.
3
To insert a registry variable into an expression, in the Condition Editor (rules) or Expression Editor (derived metrics) dialog box, ensure that the Registry Variable tab is open. Select a variable from the list, and click Insert.
The dialog box closes and the Condition (rules) or Expression (derived metrics) box refreshes, showing the newly-added variable.
4
To insert a metric or a property into an expression, in the Condition Editor (rules) or Expression Editor (derived metrics) dialog box, open the Metric/Property tab.
Scoping Topology: Shows a single scoping topology type included in this category. If the rule or derived metric is not scoped, this area is empty.
Child Topology: Lists the descendants of the scoped topology type.
Other Topology: Lists the following topology types:
Select a topology type from one of the following panes Scoping Topology, Child Topology, or Other Topology.
The Metric/Property tab refreshes, showing the instances and metrics for the selected topology type.
The Metric/Property tab displays only two columns at a time, causing the initial list of topology types to shift to the left. Use the arrow buttons in the upper-left to navigate through the window. A breadcrumb trail displays the metrics and properties you have chosen
To select a metric, in the Metrics pane, click the metric.
To select an instance, in the Instances pane, click the instance name.
The Metric/Property tab refreshes, showing the list of properties for the selected instance.
In the Properties pane, select the property that you want to add to the condition (rules) or expression (derived metrics).
d
Click the Insert button.
The dialog box closes and the Condition (rules) or Expression (derived metrics) box refreshes, showing the newly-selected instance or metric.
5
To insert a function into an expression, in the Condition Editor (rules) or Expression Editor (derived metrics) dialog box, open the Function tab.
Click Function Name and select a function from the list.
The Function tab refreshes, allowing you to specify the arguments for the selected function, and shows usage examples.
The first argument represents the object on which the function will be performed, such as a metric (specified using the format #metric#) or a topology object within the rule or derived metric scope (specified as scope). See Using Functions in Conditions and Expressions for more information.
c
Click the Insert button.
The dialog box closes and the Condition (rules) or Expression (derived metrics) box refreshes, showing the newly-added function.
6
To insert an operator into a rule condition or derived metric expression, place the cursor in the Condition or Expression box where you want to insert the operator, and click the appropriate button.
Click Validate () above the Condition (rules) or Expression (derived metrics) box.
If the syntax is correct, a success message appears above the Condition (rules) or Expression (derived metrics) box.

Derived metric expressions and rule conditions and expressions are matched against monitoring data. Foglight can perform functions on this data. Functions cause calculations to be performed on the data specified in conditions and expressions, allowing the data to be modified before it is matched.

Most of the default functions available with Foglight cause calculations to be performed on metrics. In addition, the functions alarmCount, changeSummary, descendants, findObservationEntries, getContainedObjects, and getObservationTrend cause values to be returned for topology objects (based on a specified scope). In most cases, you specify scope as the parameter for one of these functions; using the scope variable causes the function to be performed on the topology objects included in the rule or derived metric scope. However, there may be situations in which you want to specify an alternate scope. See Advanced scripting example for more information.

The following functions are supported by Foglight for use with rule conditions and expressions and derived metric expressions:

alarmCount: Returns the current number of alarms for each topology object referenced by this function’s scope parameter.
avg: Calculates an average (arithmetic mean) from metric values.
changeSummary: Returns the list of topology property changes for each topology object referenced by this function’s scope parameter over the specified time period (supplied in milliseconds).
checkObservationAlarms: Returns a list of all log entry objects with a particular severity.
checkUserPermission: Check the permissions assigned to a user.
compareStrings: Compares two text strings.
count: calculates the number of observations. An observation can be either a metric or a property of a topology object.
createObservationAlarms: Returns a list of all log entry objects with a particular severity.
currentUserHasAdvancedOperationsRole: Returns True if the current user has Advanced Operator role
delta: calculates the difference between the maximum value of the two most recent samples of a single metric. The delta function is used with metrics whose unit of measurement is count.
delta_rate: calculates the rate per second of the delta.
descendants: returns the set of topology objects that are directly or indirectly contained by each topology object referenced by this function’s scope parameter.
f4registry: Returns the value of a given registry variable for the current scoping object.
findObservationEntries: Returns a list of log entry objects with a specified set of properties.
generateUUID: Returns a random Universal Unique Identifier (UUID).
getAlarmSeverities: Retrieves a list of alarm severities for a given object.
getAllMonitoredComponents: Returns all monitored components in the definition of the scoping object.
getContainedComponentsPropertyName: Returns the property name of the contained component.
getContainedObjects: Returns the set of topology objects of the specified type that are directly contained by each topology object referenced by this function’s scope parameter.
getImpactedServices: Returns a list of impacted services.
getInstalledAgentList: Returns a list of installed agent types that are compatible with and can be installed on a host, given the host’s Foglight Agent Manager ID.
getMonitoredComponentRuleInfoList: Returns a list of rules that are scoped to a monitored component.
getObservationTrend: Returns an observation trend.
getPropertyObject: Returns the value of property for the topology object with the given ID.
getPropertyValueAtGivenTimesOfGivenTopologyObjects: Returns the values of a given property for a list of TopologyObjects at a given list of times.
getPropertyValuesOfTopologyObjectAtGivenTimes: Returns the values of a given property for a list of TopologyObjects at a given time.
getRuleAlarmSeveritiesConfigured: Returns the existing alarm severities that are configured for a rule.
getRuleBasedView: Returns a rule-based view.
getRuleBasedViewInput: Returns a rule-based view input.
getRuleBasedViewName: Returns a rule-based view name.
getRuleComment: Returns a rule comment.
getRuleInfoUsingId: Returns a rule comment given an ID.
getSeverityConditions: Returns a list of severity conditions for a rule.
getTopologyPropertyValue: Returns the value of a topology property for a scoping object at a given date and time
help: Returns a list of supporting information such as scripts or methods as specified by the parameter.
histogram: keeps a histogram to measure the distribution of metric values (for example, for a set of topology objects or for a single object over a specified period of time).
isNotNull: Determines whether a given data object is set to null.
last: Returns a com.quest.nitro.service.scripting.ObservedDataQueryResult object which contains the latest metrics for the scoping object if there are any observations made during a given period.
max: Calculates a maximum from metric values.
metricDifference: Returns the difference percentile between two given metric values.
min: calculates a minimum from metric values.
period: calculates the total length of a period of time from a series of metrics and returns a value in seconds.
positive_delta: Returns the difference between the maximal values of the most recent two metric values for a scoping object.
positive_delta_rate: Returns the difference between the maximal values of the most recent two metric values for a scoping object divided by the time period in seconds of the more recent metric value.
rate: calculates the rate of a metric value per second.
returnIncludeOrExcludeGivenABoolean: Determines whether to include or exclude the object given a boolean value.
returnObjectsSatisfyingNameFilter: Returns a given number of objects whose name matches a string pattern specified by the parameter.
returnObjectsSatisfyingTypeNameFilter: Returns a given number of objects whose name matches a string pattern specified by the parameter.
stddev: Calculates the standard deviation from multiple metric values.
sum: Calculates the sum of metric values.
updateHostModel: Updates the Host Model.
In the Condition box on the Condition tab of the rule’s Warning pane, you specify the following:
You are creating a simple rule that applies to JDBC requests. You want this rule to fire an alarm if the metric #requestResponseTime# returns values greater than 750 milliseconds more than 10% of the time over the period of an hour.
In the Condition box for the rule’s Fire state, you specify a condition similar to the following:

In most cases, you use the scope variable as a parameter for the functions alarmCount, descendants, and getContainedObjects. However, there may be a situation in which you need to create a condition or expression that uses one of these functions but want the function to be performed on an object outside of the rule or derived metric scope.

For example, if you wanted to compare the alarm count for objects within the scope of a rule with the alarm count for a specific server that is not within this scope, you could specify a condition using the following syntax:

alarmCount(scope) > alarmCount(#!CatalystServer where name = "Server_IP:1099"#.getTopologyObjects()[0])

Where Server_IP is the IP address of the server. For example:

alarmCount(scope) > alarmCount(#!CatalystServer where name = "10.4.112.155:1099"#.getTopologyObjects()[0])
NOTE: In the example shown above, the exclamation point ‘!’ implies that the argument passed to the alarmCount function is a topology object property and not a metric.

This sectiontopic provides answers to the following FAQs:

If the rule is scoped to the topology object that has that property, you can reference the property using the scope variable. This variable contains a reference to the topology object against which the expression runs.

For example, you are interested in the property filesystemName, you can use the following in an expression to obtain the property value:

If you want to reference the topology object from within a string or embedded query, you must prefix the scope variable with the dollar sign ‘$’. For example:

or

The fglcmd tool includes a command that allows you to export metric observations to a file using a metric query. The metricexport command can be used to export metrics to a CSV or XML file.

For example, the following command exports the values of the Process metric collected in the past two hours to a CSV file.

C:\Quest\Foglight\bin>fglcmd -usr foglight -pwd foglight

For complete details on how to configure fglcmd, and about the util:metricexport command, see the Command-Line Reference Guide.

 

Documentos relacionados

The document was helpful.

Selecione a classificação

I easily found the information I needed.

Selecione a classificação