Chatee ahora con Soporte
Chat con el soporte

Foglight for Virtualization Enterprise Edition 8.9.3 - Administration and Configuration Guide

Administering and Configuring Foglight Extending Your Monitoring Reach with Foglight Cartridges Administering Foglight Configure Rules and Metric Calculations to Discover Bottlenecks Customizing Your Foglight Environment with Tooling

Script Console

Use the Script Console dashboard to inspect the collected data by selecting the objects of a particular topology type and viewing the data that they contain. You can use it to, for example, see the result of a scoping query, or to run scripts at the request of Quest Support, or for other maintenance functions. You can also test sample scripts from this dashboard. This feature is available to users with the Administrator and Cartridge Developer roles.

This dashboard allows you to select an object type and list the instances of that type either by listing all instances of a type or by scoping on specific instances using a query.

Figure 120. To view the object properties on the Properties tab, select an object instance from the list.

Figure 121. Use the Scripts tab (located next to the Properties tab) to write and manage scripts.

For more information, see the following sections:

Use the Script Console to inspect collected data by selecting an object and viewing the property values of the related data. You can also use it to see the result of a scoping query whose results appear in the list of object instances. This information is displayed in the top part of the Script Console. When you specify a query, and click Do Query, the list is populated. It contains the following columns:

ID: Contains the object ID.
Name: Contains the object name.
Type: Contains the object type.
Monitoring Agent: Contains the name of the monitoring agent. By default, this column is hidden. This information is important if you have monitoring agents whose definitions include objects of the same type and name, such as the legacy Cartridge for Operating Systems agents. Having this column allows you to inspect the objects from specific agent definitions.
1
On the navigation panel, under Dashboards, click Administration > Tooling > Script Console.
The Properties tab refreshes, showing the properties and their values for the selected object instance.
The Object Type Hierarchy area displays the hierarchical relationship between the selected topology type and its parent types. The parent types that appear are selectable: clicking a parent type, the object type appears in the Query view. Clicking List Instances in that view or writing a query to scope on specific object instances of that type shows the selected objects of that type.

In addition to inspecting objects and collected data, the Script Console allows you to write and run scripts, and save them for future use. For example, you can test sample scripts, or run scripts at the request of Quest Support, or for other maintenance functions. This feature is available to users with the Administrator and Cartridge Developer roles.

The Scripts tab displays the following columns:

Script Name: The script name.
Cartridge Name: The cartridge name associated with the script. When you create a script, you have the option to associate the script with a cartridge for class loading. The associated cartridge classes are loaded first during script execution, improving its performance.
Script Topology Type: The topology type of the scoped object. This column is only populated when you scope on an object and your script references the scope.

A note in the top-left indicates the existence of a scoped object: No Scoping Object Selected or Current Scope Object is object name (type). Scoping on an object allows you to reference the selected object in your script using the scope variable.

Clicking Launch Service Layer Documentation opens the Java API documentation for the Foglight Service Layer. If you are using Foglight services in your script, use this information as reference.

The Add button opens the Run Script dialog box that allows you to quickly write, run scripts, and save them for future use. A collection of saved scripts is user-specific: a saved script is only accessible by the user who created it.

Clicking a script name also opens the Run Script dialog box that allows you to quickly edit and run the script.

The left-most column in the table contains check boxes that allow you to select one or more scripts, and delete the selected script by clicking Remove Selected. Select All and Select None selects all scripts and clears all selections, respectively.

1
On the navigation panel, under Dashboards, click Administration > Tooling > Script Console.
a
In the Script Console, in the Query view, type a query to retrieve objects of a specific type and then click Do Query.
For example: !FSMSystemService where name like 'All Hosts'
The Script Console refreshes, showing the selected object’s ID in the Object ID box, and its property values on the Properties for All Hosts tab.
c
On the Properties for All Hosts tab, scroll down to the definition property and click its value.
d
In the Values List, click All Hosts.
The selected All Hosts object instance of the FSMDynamicManagedComponent type is now the scoped object.
4
Click Add to start writing a new script.
NOTE: If you scoped on a topology object in Step 2, this is indicated in the title of the Run Script dialog box.
In the Run Script dialog box, in the Name box, type the name of the script you are about to create. For example: My Sample Script.
In the Enter Script Text box, type your script.
For example, to retrieve the value of the selected FSMDynamicManagedComponent object’s components property, type the following line:
7
Optional — To associate the script with a specific cartridge for class loading purposes, click Choose an Associated Cartridge (Optional) and select a cartridge from the list that appears. Associating a cartridge with the script ensures the cartridge classes are the first to load during the script execution, improving its performance.
8
Click Run to run the newly edited script.
In the Run Script dialog box, the List Viewer (or Script Output) tab shows the result of the script.
If any log messages are generated during the script run, they appear on the Log Messages tab. The script example used in this procedure does not result in any log messages being generated. If you want to see an example of this feature, you can type the following script and then examine the log message on the Log Messages tab.
If the script returns an object, the Help tab displays the object type and a collapsible list containing the public methods defined in the object’s class and their prototypes. For more information about this tab, see Retrieving information about named scripts, services, and classes.
If you scoped on a topology object in Step 2, scope appears in the script, and the scoping object is null, an Error message is logged.
If you scoped on a topology object in Step 2, scope appears in the script, and the scoping object is a different type than the saved scoped object type, a Warning message is logged.
9
Click Save to save your changes and close the Run Script dialog box.
The Run Script dialog box closes and your newly created script appears in the list on the Scripts tab.
If you scoped on a topology object in Step 2 (scope appears in the script) and the scoping object is null, a Warning message is logged, indicating that the scoped topology type is not changed. The name of the scoped topology type appears in the Scope Topology Type column.

The Script Console allows you to export existing scripts to XML format, and to import scripts into the system.

Exported script files use the following XML format:

<script name="<script_name>" cartridge="<cartridge_name>" scopeTopologyType="<scoped_type>">
<script_body>

The XML file name uses the following format: exportedScripts<file_ID>.xml. For example: exportedScripts988888578404711052.xml.

It is possible to export multiple scripts into a single XML file. This causes every script to be enclosed in its own <script> element. The XML can include as many <script> elements as required.

Imported scripts take precedence over the existing scripts, so an imported script overwrites any scripts of the same name if they exist on the system. You can import any scripts that are exported from the Script Console. Alternatively, you can write XML files containing one or more scripts, and import them into the system, assuming that the file content follows the supported XML format.

1
On the navigation panel, under Dashboards, click Administration > Tooling > Script Console.
3
On the Scripts tab, select the check box in the row containing the script that you want to export.
4
Click Export Scripts.
1
On the navigation panel, under Dashboards, click Administration > Tooling > Script Console.
3
On the Scripts tab, click Import Scripts.
4
In the Import Scripts from File dialog box, click Browse and navigate to the XML file containing the script that you want to import.
5
Click Import.
6
Close the Import Scripts from File dialog box.
The Scripts tab refreshes, showing the newly imported script in the list.

Your scripts often need to reference named scripts, service layer methods, and topology objects. The Service Layer API documentation can be quickly launched from the Script Console, but it does not give you syntax information for calling named scripts or invoking object-related methods.

The Help tab, available in the Run Script dialog quickly provides the information you need after typing a desired help command in the Enter Script Text box and clicking Run.

Also, if a script returns an object, unless the returned object is a String, the Help tab displays the object’s type along with a collapsible list containing the public methods defined in the object’s class and their prototypes. This on-hand reference information can help you quickly write additional scripts to obtain additional information about the retrieved object.

The help command allows you to display its syntax, list named scripts, service layer methods, class methods, and to drill down on a named script, service, or service layer method. For complete information, see the following sections:

This command provides syntax information for the help command.

This command lists all named scripts, including the scripts that come with the server, and any installed cartridges. The list is alphabetically sorted and includes a search tool. Clicking or hovering over a script name on the Help tab shows the script’s syntax information, description, and argument descriptions in a separate dialog box.

The completeness of this information depends on how well the script is documented.

help("script_name")

With a script name passed as an argument, this command displays the script’s syntax information, description, argument descriptions, and examples.

The script name is case sensitive and does not include script arguments. For example, to display information about the script adjustHostName(arg), type help("adjustHostName"). Typing help("AdjustHostName") or help("adjustHostName(arg)") results in an error: AdjustHostName is not a valid script name.

The completeness of the displayed information depends on how well the script is documented.

This command shows the server services and the methods available for each service in a navigation tree.

Expanding a service node in the tree displays the methods defined in the service. The list of services provides a search tool.

Syntax information is provided for each method, including the return type, method name, and arguments. Clicking a service or method shows Java documentation for the selected component in a new browser tab or window.

help(class_name|object)

When a fully qualified class name or a specific object instance is passed as an argument, this command lists the public methods defined in that class and provides their syntax. The methods appear as nodes in the navigation tree, with the class name as a collapsible root node. A search tool is also provided.

For example, scoping on a object instance in the Script Console and typing help(scope) displays the scoped object’s class name in a navigation tree. When expanded, the class node shows a list of public methods available for that class.

The Agent Manager Adapter, included with the Management Server, includes the agent_restore script that allows you to restore agents that appear disconnected after a server failure. It recreates any agent instances that are known to the Management Server that were deleted on a Agent Manager host. Use the Script Editor dashboard to run the script.

agent_restore([["runAsync", "boolean value",] ["batchSize", "int value",] ["batchSleep", "int value in ms",] ["activate", "boolean value"]]|"help"]);

activate

true or false

Activates the agents after recreating them. Setting this value to false restores the agents to their last known state. The default is false.

batchSize

int value

Specifies the number of agents to restore in each batch. The default is 25 agents per batch, -1 disables the operation.

NOTE: When runAsync is set to true, it is recommended to have a lower number of agents per batch to prevent the server from being overloaded, as under this mode, the script sets the incoming agents to their last known state. This may involve not only recreating the agents but also activating them.

batchSleep

int value in ms

Specifies the time in milliseconds to sleep between batch runs. The default is 30000 ms.

help

Prints the syntax and argument usage information.

runAsync

true or false

Initializes the agent’s restore operation asynchronously. The default is false.

NOTE: Setting this argument to true forces the activate parameter to false. This is because an asynchronous restore operation has no means to determine when an agent is restored.

Query Language

Foglight collects data from host systems and uses that data to build topology models at run-time. Each monitoring environment can include one or more topology models. The basic building blocks of each topology model are nodes, that represent object instances, and their logical relationships. Additionally, each monitoring environment includes a collection of topology types. A node in a topology model is always associated with a topology type.

The nature of the monitored environment dictates the structure and complexity of each topology model and the collection of available topology types. A basic installation of the Foglight Management Server includes a set of core topology types and each separately distributed cartridge adds to that collection.

In the browser interface, the Data dashboard shows the available topology models, their data nodes, and the hierarchical relationships between the nodes. Similarly, the Schema Browser dashboard shows the topology types and allows you to view the parent-child relationships, properties, and instances for each topology type. Use these dashboards to better understand the collected data, as reference points. For more information, see the online help pages associated with these dashboards.

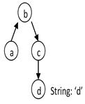
The topology can be thought of as a directed graph with nodes representing topology objects and edges representing topology property relations. This sectiontopic shows how to form queries on an abstract graph regardless of how properties are set up, or in the abstract world, edge direction. In the following graphs, it is assumed that a property of name x (lower case) is of type X (upper case).

Consider a topology type B that has an observation property a and a regular property c. c has a property d that is a String.

Figure 131. The graph for a topology object b of the topology type B looks like this:

In the following queries, we retrieve a using an important filter consisting of a literal matching pattern between the d property and the d literal value (d = 'd'). In the following examples, note how the positions of the nodes in each graph are the same, while the edge directions are different.

a from B where c.d = 'd'

Explanation:

This query filters all topology objects of B type and retrieves their a observations.

a from (C where d = 'd').b

Explanation:

The query filters all topology objects of type C, retrieves their b properties followed by retrieving the a observations from that set of b properties.

(B where c.d = 'd').a

Explanation:

The query filters all topology objects of type B and then retrieves the a objects from that set of b properties.

A where b.c.d = 'd'

Explanation:

The query filters all topology objects of type A.

A where b in (C where d = 'd').b

Explanation:

The query filters all topology objects of type C, and forms a set S of the results’ b property objects. Then it filters all objects of type A by checking that their b property is in S.

(C where d = 'd').b.a

Explanation:

The query filters all topology objects of type C and uses the resulting set as the base to find the desired a properties.

Topology queries can be in a simple form, or become as complex as needed to find just the topology objects you want.

This tutorial begins with a query for the set of all EJBInstance topology objects that exist in your environment. The syntax for this query is:

The exclamation mark says that this is a topology query, and is followed by the Topology type name. The above expression illustrates a very compact syntax.

You can filter topology objects by their properties. For example, if you want just those EJBInstances who have their name property set to inst1-1, express your query in the following way.

The where is a filter, functionally similar to an SQL WHERE. If you like keeping your query compact, you can replace the where keyword with a colon. It has the same meaning.

In addition to querying properties with specific values, you can also write queries that select objects with null properties. To do that, use the null keyword preceded with a dollar sign ‘$’. Depending on the context in which the query is used, in some cases you need to escape the dollar sign ‘$’ with a backslash ‘\’. For example:

qs = server.get("QueryService")

objs = qs.queryTopologyObjects("Host where os = \$null");

When searching for null values in embedded queries, there is no need to use the backslash ‘\’. For example:

objs = #!Host where os = $null#.getTopologyObjects()

To write fast queries, it is important to know how the Query Service works. Let’s examine how our query is evaluated.

When the Query Service evaluates this query, it first retrieves the set of all EJBInstance objects, checks each one to see if the name is equal to inst1-1, and finally returns the subset of objects that match.

Without knowing anything about the topology, it is impossible to say whether this query completes quickly or slowly, depending on the number of EJBInstance objects in your environment. This could be a fast query if the set of EJBInstance objects is small, or a slow query if the set of EJBInstance objects is large.

As a query writer your rule-of-thumb is to keep the set small. To do this you need to understand the topology model, and any options you have available in writing queries.

For example, let’s say you want those objects whose type contains the word Catalyst. A common first attempt would be to make a query for all TopologyObject instances whose topologyTypeName property contains Catalyst.

Another way to achieve the same goal is with this next query.

Which form of the query should you choose? The first query scans the set of all topology object, of every type, checking each object’s topologyTypeName property. In a typical system there will be hundreds of thousands of topology objects so the set is quite large.

The second query scans the set of topology types, matches them against the regular expression /.*Catalyst.*/, and finally returns all topology objects on the matching types. The scanned set here is typically only hundreds of types, so it’s relatively small. You should choose the second query.

If you know the exact names of the data types that you want to query, using those name is the most efficient way. For example, the following expression retrieves all hosts and agents that exist in your system:

Filters can contain multiple conditions. The following query retrieves those EJBInstance objects whose name is Alice, Bob, Carol, or Dave in an inefficient manner.

For every EJBInstance Topology object, the query engine performs the following steps:

1
Accesses the name property and checks if it is equal to Alice, returns the object if it is, otherwise goes to Step 2.
2
Access the name property and checks if it is equal to Bob, returns the object if it is, otherwise goes to Step 3.
3
Access the name property and checks if it is equal to Carol, returns the object if it is, otherwise goes to Step 4.
4
Access the name property and checks if it is equal to Dave, returns the object if it is, otherwise discards the object.

The above query assesses the name property four times, once per condition (Alice, Bob, Carol, or Dave). You can make your query faster by reducing the number of conditions, and therefore, the number times you access the name property. For example:

The second query takes the full set of EJBInstance topology objects, and for each object will perform the following operation.

Access the name property and checks if it is equal to Alice, Bob, Carol, or Dave, returns the object if it is, otherwise discards the object.

In this case the name property is retrieved only once per object, rather than four times.

This section is a catalogue of the options you have to make queries. It is broken down by the structure of how a query is put together. Every query has the same common form:

SetOfTopologyObjects : Property Operator Value

Let’s look at each part of the form separately.

There are several ways to describe the SetOfTopologyObjects element:

This is the basic way to define a set of topology objects.

!ExampleType

This query element goes to the Topology Service with the ExampleType topology type, including all its sub-types, and retrieving all the topology objects of those types.

This is an advanced form of the topology type name. What it does is it builds a topology type definition and then retrieves the objects that meet that definition. There are many different options that you can use to extend and restrict the topology type definition that you are building. The general form for the $objectsbytype() element is as follows:

$objectsbytype(typespec1, typespec2, …)

The $objectsbytype() element reads the list of type specifications and generates a resulting set of topology types. Once the type reading is complete, it retrieves all topology objects for each of the types it finds. Objects from the sub-types are automatically collected if a super-type makes it into the resulting set, even when the objects of the sub-type themselves do not directly meet the specification. We will see how this works soon in Multiple type specifications.

Next, you learn about the The type specification format.

The type specification format

The simplest type specification is just a basic topology type name.

$objectsbytype(ExampleType)

So far, this is functionally identical to the !ExampleType syntax. The difference is that it can now be made more exact by restricting the object types to those that came from a certain cartridge and version. If you just want to just specify the cartridge, add the cartridge name with a colon:

$objectsbytype(ExampleType : ExampleCart-5)

It can be further restricted by specifying the cartridge version:

$objectsbytype(ExampleType : ExampleCart-5 : 1.0.0)

If you are not sure of these names, or you want to match multiple types or versions with a single specification, cartridge names or versions can be replaced with a Java regular expression:

$objectsbytype(/.*Example.*/ : /ExampleCart-.+/ : /1\..+/)

The above query returns all of the objects of the matching types and their sub-type objects, regardless of their sub-type names and cartridges.

Regular expressions that use this element can also be specified without $objectsbytype. For example, both of the following expressions are valid:

!$objectsbytype(/T/)

!/T/

Multiple type specifications

Additional types can be added with a comma. For example:

$objectsbytype(ExampleType : /ExampleCart-.+/, CatalystService)

This will get you all the objects of ExampleType from any ExampleCart, plus the CatalystService objects.

Besides adding on more types you can remove types from the match:

$objectsbytype(CatalystService, !/.*Data.*/)

The above query returns all of the CatalystService objects excluding those with Data in their type name. The exclamation point here means exclude.

How multiple type specifications work

Processing a multiple type specification works by parsing the list of specifications from left to right and keeping a set of types that make the match so far. Each positive specification (without an exclamation mark) adds new types to a set of types, while each negative specification (with an exclamation mark) subtracts from that set.

This approach gives a lot of flexibility. Consider a type hierarchy A?B?C, where A is the super-type of B, and B is the super-type of C. If we want to query for objects of types A, B, and C, then we can write the following:

Let’s change it a bit. Suppose we want objects of types A and C, but not B. In that case, form the query in the following way:

As the query parser scans the multiple type specifications from left to right, it performs the following actions and maintains the working set in the following states.

Initialize working set

{}

Add A, B, C

{A,B,C}

Remove B,C

{A}

Add C

{A,C}

As you can see, the order of the type specifications is important. For example, switching around !B and C to $objectsbytype(A, C, !B) returns a working set of types that contains only the A type ({A}).

If a query appears within a rule or a script, it includes a scoped topology object. For example, a rule can be scoped to the set of JVMs you are monitoring. Prior to this rule being evaluated, the set of all JVMs is retrieved with the following query:

Then, at evaluation time, the rule executes its evaluation code for each JVM object in that set. In this example, queries within that evaluation code can use the $scope variable to get their particular JVM object against which they are run.

$objectsbyid() can be used to explicitly point to certain objects by their unique IDs:

$objectsbyid(uniqueId1, uniqueId2, …)

Here is an example that identifies a set of three topology objects by their IDs:

$objectsbyid('510b5d753913', 'ba23c8a3f8dc', '4c62cd4228ff')

It works by directly asking the Topology Service for the latest versions of these objects.

Negation of $objectsbyid is ignored. For example, the following expressions are equivalent:

and

A topology model is a set of object nodes and links between them. The links are called properties, and as a whole, the set of topology objects and their properties form a model that you monitor with the Foglight Management Server. For any topology object, its properties can point to other topology objects, which in turn have properties that point to other topology objects, and so on.

The result of evaluating a property path is a SetOfTopologyObjects. The general form of the property path is:

root.propertyName.propertyName

The root of the path can be any of the forms for defining a SetOfTopologyObjects. Here are examples of each element with property path examples.

(JVMGarbageCollector).jvm.localStateSeverity

$objectsbytype(/JVM.*GarbageCollector/).jvm

$scope.jvm.localStateSeverity

$objectsbyid('0193339a9c27').jvm

The result of walking a path is the set of objects from the end of the path. For example, the path in the first example, (JVMGarbageCollector).jvm.localStateSeverity, returns a set of AlarmSeverity objects. These are the localStateSeverities from the JVMs of all JVMGarbageCollectors that exist in the topology model.

Property typing

Property paths are static in nature. Properties are associated with topology types and not the topology objects.Topology objects contain property values. The query engine interprets property paths by evaluating properties from the topology types, and then populating the resulting path with the values associated with the related topology objects.

When you write a query, you are working with type properties. It doesn’t matter if all of the selected objects all have the property referenced in a query, what counts is the property type. This illustrated in the following example:

In this query, we find every TopologyObject object whose topologyTypeName property matches the regular expression '.*GarbageCollector', and from that set of objects, we retrieve the 'jvm' property. It is very likely that every TopologyObject object whose name matches '.*GarbageCollector' does have a jvm property, but the query engine is not aware of this. Instead, while it builds the path, it looks strictly at declared types, and sees that you are trying to reference the jvm property from a TopologyObject object.

The following example results in an error:

(TopologyObject : {with some filter}).jvm

That is because the TopologyObject type does not include a jvm property. The right way to do this query is by using $objectsbytype():

In this version of the query, we are working directly with types. The query engine finds the least common ancestor of all types that match the regular expression. If that type has a jvm property, then the query retrieves one or more values, otherwise it throws an error.

Collection properties

Collection properties hold more than one topology object. Usually the type of this collection property is the TopologyObject type, so that it can act as a collector of objects. Unfortunately, this makes it hard to reference properties out of them. An example collection property is a Host object’s detail property:

The detail property is a collection of TopologyObject objects. They can all be RemoteClient objects that include agentAdapterName properties, but you cannot get to that agentAdapterName property because you are trying to de-reference it from the TopologyObject type. For that reason, the following query is invalid.

The right way to perform this query is as follows.

In the above example, agentAdapterName is now referenced from the RemoteClient type. This query also introduces logical operators and the $object keyword. These are explored in Properties .

The Basic type example from A walk along a property path is actually a special case of a more general use. Instead of putting a topology type name in the parentheses, you can insert a complete topology query.

Or:

This allows you to introduce filters along the property path.

The first example finds those JVMGarbageCollector objects and filters them to obtain only those which contain the Gen sub-string for Generational collectors. It then goes from that set, off to their jvm objects, and finally to the localStateSeverity objects.

The second example starts at the scoping object, walks to its jvm objects and then filters those by names ending with a 1. After filtering, the query uses the remaining topology objects to find their localStateSeverity objects.

For sub-queries without filters, there is no need to enclose them in parenthesis. For example:

And:

This concludes what you can do to create a SetOfTopologyObjects. The next topics cover the WHERE clause, breaking it down into two parts:

The query engine interprets properties and property paths in filters just like property paths in the definition of the SetOfTopologyObjects with some differences. The basic behaviors are described in Property typing and Collection properties .

The differences between how property paths are interpreted in SetOfTopologyObjects and those in filters are as follows:

The root in a filter’s property path is inherited from the set passed out of the SetOfTopologyObjects, rather than defining one itself.
Besides ending in TopologyObject objects, the tail of the filter’s property path can also be String, Boolean, or Numeric objects.

Our first example query in this tutorial illustrated the first two differences. When we say the following:

This means that name is a property of the EJBInstance topology type, and each topology object of the EJBInstance type includes a value for that property. In this case, the property path length is one, and the tail value is a String.

There are cases where you want to make checks against topology objects coming out of the SetOfTopologyObjects themselves, rather than one of their named properties. In this case you can use $object instead of the property name. We have an example in Collection properties that uses $object.

To simplify the example, you can drop the condition on the agentAdapterName property:

The above statement instructs Foglight to retrieve all RemoteClient topology objects, where those objects ($object) appear in Host objects’ detail property.

In a sense, there is an implicit $object prefix in all property uses. The query !EJBInstance : name = 'inst1-1' can be rewritten to use an explicit $object. There is no difference, it is just more verbose:

The $object.name property is actually a property path. There is no length limitation on property paths within the filter. The only difference from SetOfTopologyProperty paths is that you cannot introduce filtering WHERE clauses into these property paths. For example, the following query is incorrect:

Instead, re-write the above query in the following manner:

This query returns those JVMGarbageCollector topology objects whose jvm name is x and the localStateSeverity property is the scoping topology object.

This topic describes the following operators that you can use in queries:

The in operator has two meanings. It can mean that the tail of the property path appears in:

Explicit set of strings

We use the first form of in when we want to say that a property has one of a number of String values:

The above query returns those EJBInstance topology objects whose name property matches inst1-1 or inst1-2. It is preferable, to saying:

A set of topology objects

The second form of in is used to say that the tail of a walk along a property path is a member of another set of topology objects:

The like operator tests the equivalence of a property value and a SQL-type expression. For example, the following query retrieves one or more hosts whose name uses the pattern %.mydomain.com.

Similar to like, matches tests the equivalence of a property value and a Java regular expression. For example, the following query retrieves object instances of the J2EEExecuteQueue type whose name uses the pattern Nexus.*.

For more information about regular expressions and the syntax that you can use in Foglight, see the Command-Line Reference Guide.

The isa and instanceof operators check if an object instance is an instance of a particular type. For example, the following query returns all Host object instances whose detail property if of the type RemoteClient.

The topology model has a tree-like structure. In that structure, an object can contain one or more child objects, that, in turn can contain one or more child objects, and so on. The existence of these parent-child relationships can be tested using the contains and within operators. These operators are followed by an indicator that defines the number of levels in the topology model that are selected by the query, relative to target object. The indicator is comprised of the caret sign, ‘^’, followed by a number that specifies the number of levels, or inf, that stands for no limit. For example, ^2 indicates that the query is issued against two levels above (in the case of within) or below (in the case of contains) the selected object in the topology model, while ^inf indicates that all levels are selected.

The contains operator checks if an object contains a particular child object within a specific set of the topology model. For example:

The within operator checks the if an object is contained within particular a parent object. For example:

The equals operator tests the equivalence between a property value and a given literal value. For example, the following query retrieves those EJBInstance object instances whose name property is set to inst1-1:

The union operator is used to combine results of several sub-queries.

union ( query1, query2, … , queryN )

!union( Host, JVM )

!TopologyObject where $object in union( Host, JVM )

A query can contain one or more numeric comparisons in the WHERE clause. They can be used to compare two numeric values. For example, the following query returns those Host object instances that have no existing warning alarms.

Additionally, to compare date and size values, you can use the Date and size functions.

Any of the above operators can be negated by prefixing the operator with either an exclamation mark ‘!’ or NOT. The following statements are all equivalent.

You can use the logical operators AND and OR. For example, the following says that either of the conditions is met.

If you want to write a complex condition with numerous AND and OR operators, you should use parentheses to explicitly define how the logic works. The two following examples show how different parentheses can yield different logic.

Example A

Example B

Examples of using OR

Examples of using AND

These functions create date types for comparison with date properties.

date( year, month, day )

NOTE: The timezone parameter is the same as the time zone ID in the TimeZone class. For more information, visit: http://download.oracle.com/javase/1.4.2/docs/api/java/util/TimeZone.html

collectionOrArrayOrStringProperty.size()

!Type where collectionOrArrayOrStringProperty.size() = 1

NOTE: When using the size(stringNamedParameter) format, only String-type parameters are accepted. In practice, this limitation means that instead of:
!Type where prop.size = size(:collection)

you should pass the collection size as the parameter:

!Type where prop.size = :collectionSize
:paramName

Parameter values are set using com.quest.nitro.service.sl.interfaces.query.IQueryStatement.setParam(String, Object).

NOTE: Automatic collection expansion in IN {}, $objectsbyXXX: The new query engine expands collection values when appropriate for the named parameter usage.

The use of syntax shortcuts such as ‘->’, ‘:’, ‘,’, ‘|’, ‘||’, ‘&’, ‘&&’, and ‘!’) is supported, but not recommended. With that in mind, the following expression is still a valid query:

The above expression is equivalent to:

The use of syntax shortcuts is supported but discouraged.

:

where

->

instanceOf

|

or

||

&

and

&&

!

not

The query engine supports escaping of query elements to enable backward compatibility. For example, \char is replaced by char. Additional examples:

\\

\

\"

"

\'

'

\y

y

The syntax reference described in this section uses the following conventions:

In this section, reserved words are written using upper case to improve readability. In general, reserved words are case insensitive. For example, both of the following expressions are valid:

!$objectsbytype(T) where $object instanceof Q

and:

!$objectsByType(T) where $object instanceOf Q

Character literal.

[ element ]

Optional element.

element1 | element2

Element 1 or element 2.

( grouped elements )

Grouping of elements.

The element is repeated zero or more times.

The element is repeated zero or more times.

(* Comment *)

Comment.

Begin by looking at the queries that are strictly within the domain of the Topology Service. A simple example would be querying for all topology objects of type EJBInstance.

We will now look at the following example.

Type the following:

You can filter the set of topology objects that you get back based on their properties. For example, if you want all EJBInstances who have their property name set to inst1-1, then you would express your query in the following manner.

Additional property conditions can be added using a comma as a separator, as follows:

Add an extra condition is with an and instead of the comma:

The query language also supports ‘or’ and precedence with parentheses.

The and/or keywords have convenient shortcuts. In place of an and you can use & or && and in place of an or you can use | or ||. There is also an alternative syntax for not equals (!=), which is <>.

So far, we have only used exact string matching. We can also use limited regular expressions with the like operator. To get all the EJBInstances where the name starts with “inst”, write the following query:

Besides the percent sign ‘%‘, the other regular expression element that you can use is the underscore ‘_‘, which is a required match to any character.

You can also ask for an exact match from within a set of strings.

You can specify the negation of a condition. For example, if we want only those EJBInstances whose name does not start with inst we can change the above query as follows:

Equivalently, we can write any of the following.

Note that if a not is put before a comparison, then the entire comparison must be enclosed in parenthesis.

Property conditions can express programmatic relationships. For example, if you want all EJBInstances where the name property of the EBJInstance’s application property is set to app1-1, write the following expression:

When a query is made, it can be made within a scope. A scope is simply a handle to some known topology object and is represented in the query by the keyword: $scope. If you want to find all siblings of the current EBJInstance according to their ejb, write the following expression:

There is one more way to do filtering, and that is by checking whether a topology object is a particular set of objects. For example, if you want to query for all EJBInstances on the same server (the property we are interested in) that the current scoping EJB is on, use the following expression:

(EJBInstance where server in $scope.instances.server)

Finally, a topology object query can be used as the base of a programmatic walk through object properties. For example, if you want all the EJBInstances from all EJBs that are named ejb1, you can first ask for the EJBs and then look at their instances. To do this use the following expression:

As you might expect, this query can have filtering conditions applied to it, too. If you want to retrieve only those EJBInstances from above who additionally have their names starting with inst, use the following expression:

Another way to write this query is as follows:

There are two differences between topology queries and metric queries. One is that you prefix your query with a metric name and optionally suffix your query with a time period. The other is that there are fewer parentheses required because you’re using the keyword from.

Foglight agents collect metrics from monitored hosts and send them to the Foglight Management Server in batches. The length of an agent's collection period for a batch is specified in the agent properties. A metric query that includes a time component retrieves the batch of data that exists on the server at the time specified by that time component, not the batch of data collected at the time specified by the query, as it may be expected. For example, the query ruletteCount at 15:00 on 2007-09-26 retrieves the batch of data for the ruletteCount metric that exists on the server at 15:00. As seen in the example below, the start and end time of the collection period for that batch indicate that the collection period started at 14:22 (startTime) and ended at 14:59 (endTime).

f0484b82-186e-4d97-b2d0-6d0d2fb3db98

9/26/2007 14:22

9/26/2007 14:59

2250000

75

0

35

22.86666667

1715

56425

15.1475704

For example, if you want to get the collect the invocationTime for all EJBInstances over a period of 1.5 hours, write the following expression:

You can also use a registry variable (here called myDuration associated with the current scoping topology object to specify a time period.

As mentioned above, you can still use the mechanisms associated with topology queries. For example:

Also, if you have a scoping EJBInstance topology object you could query for its invocationTime in the following way:

Because this is a common idiomatic case for the Rule Engine, there is a short-hand for from $scope in the above.

In this case, the language interprets that there is no sub-query for topology objects, so it assumes that the invocationTime metric is attached to the current scoping topology object. It implies a $scope clause in the query.

The time period is optional. If you just want a current invocationTime from the current scoping topology object, write the following expression:

Time periods can be used for baselining. The idea is that instead of querying for recent metrics based on the current time, you can get older metrics from either a certain date or an offset of a number of days, weeks, months or years into the past.

The first way to do this is to append an ago clause.

This statement looks at the current time, chooses the same calendar instant from week ago, and selects the 1.5 hour period immediately prior to that 1 week ago instant. For example, if it is currently Monday morning at 9:00 AM, this statement goes back to last week’s Monday morning and select the invocation time from 7:30 AM to 9:00 AM. Note that leaving off the ago clause will produce the same period of time (except on today) allowing for apples to apples comparisons with visually similar queries.

The second clause we can append is an on clause.

This works the same way as the previous example, except that instead of using a relative offset, we specify an absolute date to select the data from. Again, if it is currently 9:00 am, this query selects the data collected from 7:30 am to 9:00 am from May 25, 2009.

These clauses give wall clock equivalent comparisons, that is, they compare 9:00 am today to 9:00 am in the past. If you want to compare 9:00 am today to a different wall clock time in the past you can use a spanning clause.

The above query selects data from 1:00 pm to 2:30 pm on May 25, 2009. If you want, you can specify time ending at a certain point as well.

And finally, you can use the relative offset with a spanning clause.

Time zones can optionally be added to a spanning clause.

Examples of acceptable formats for the time zone are:

In general, any of the formats supported by java.util.TimeZone.getTimeZone() can be handled here.

Instead of asking for a metric over a period of time, you can also single metric at an instant. It works just like asking for the most recent metric, except the system pretends that the wall clock is set to the time you have specified. The way you specify wall clock time is by giving a 24 hour time value and a date. The 24 hour time value is optional and the date may either be an absolute date or an offset of a number of days, weeks, months or years into the past. The following examples show the different ways the syntax can look.

This query takes the most recent metric, pretending that it is 1:00 PM on Monday, May 25.

The use of a 24 hour clock, although preferred, is not mandatory. You can use the following expression to retrieve the same data set:

The following query retrieves the most recent metrics, pretending that it is 1:00pm, 2 days ago:

The following query instructs the query engine to take the current wall clock time, apply it to May 25, and find the most recent metric at that time.

And finally, the following query instructs the query engine to take the current wall clock time from 2 days ago, and find the most recent metric at that time.

Although the last two forms of query exist for completeness sake, they are not thought to be useful in a typical business scenario.

The scope of a rule defines the set of topology objects against which it will run. The scope of a derived metric defines the set of topology objects to which it applies. A rule or derived metric must be scoped to a topology type and can optionally be scoped to specific instances of that type (topology objects). If a rule or derived metric is not scoped to specific objects, it applies to all objects of that type.

Optionally, after selecting a topology type, it is possible to restrict the scope to specific instances of the selected type using the Scoping Query Editor, either by selecting specific object instances, using a property matching filter, or writing he scoping query manually.

1
Click Topology Type and select a topology type from the list that appears.
If the scope is valid, a confirmation message appears above the Topology Type box while the name of the newly-selected topology type appears in the box at the bottom.
4
In the box immediately below the Topology Type and Property boxes, edit the logical expression that matches the rule scope.
TopologyType where property = "value"
Where TopologyType is the topology type you selected in Step 1.
b
Click Property and select the property name from the list that appears.
In the above expression, select value and replace it with the property value.
If the scope is valid, a confirmation message appears above the Topology Type box while the name of the newly-edited expression appears at the bottom.
1
In the box immediately below the Topology Type and Property boxes, place the cursor where you want to insert the new segment of the scoping query.
The Scoping Query Editor dialog box opens.
3
Ensure that the Instances tab is open.
In the Topology Instances box, select one or more object instances.
5
In the Scoping Query Editor dialog box, click Insert Query.
The Scoping Query Editor dialog box closes and the scoping query (or scoping query segment) appears i immediately below the Topology Type and Property boxes.
If the scope is valid, a confirmation message appears above the Topology Type box while the name of the newly-edited expression appears at the bottom with the topology type instance referenced with its uniqueID property.
1
In the box immediately below the Topology Type and Property boxes, place the cursor where you want to insert the new segment of the scoping query.
The Scoping Query Editor dialog box appears.
3
In the Scoping Query Editor dialog box, open the Filter tab.
The Filter tab opens in the Scoping Query Editor dialog box.
a
In the Filter tab, click Properties and select a property.
b
Click is equal to on the right and select a logical operator from the list that appears: is equal to, is not equal to, is like, or is not like.
6
If you want to add more expressions to the filter, repeat Step 4 and set the logical operators at the end of each line as required.
7
Click Insert Query.
The Scoping Query Editor dialog box closes and the scoping query (or scoping query segment) appears in the box immediately below the Topology Type and Property boxes.
If the scope is valid, a confirmation message appears above the Topology Type box while the name of the newly-edited expression appears at the bottom with the topology type instance referenced with its uniqueID property.

You can use the syntax shown in one of the examples below to manually specify all or part of the scoping query in the box immediately below the Topology Type and Property boxes. This field is case-sensitive.

Use these examples only as guidelines with regard to the query language syntax. There are many additional ways of specifying a scoping query. For complete information about the query language syntax, see Topology query reference.

where TopologyType is the name of the topology type of which Object is an instance and Object is the specific instance to which you want the rule or derived metric to be scoped.
where TopologyType is the name of the topology type of which the topology objects with names like Object are instances. In the example shown above, the % wildcard causes the rule or derived metric to be scoped to all topology objects (of the specified type) with names that end with what you specify in place of Object.
where TopologyType is the name of the topology type of which Object is an instance and Object is the specific instance to which you do not want the rule or derived metric to be scoped.
where TopologyType is the name of the topology type of which the instances with names like Object are instances. In the example shown above, the % wild cards cause the rule or derived metric to be scoped to all topology objects (of the specified type) with names that do not include what you specify in place of Object.
where TopologyType is the name of the topology type of which Object1 and Object2 are instances; Object1 and Object2 are the instances to which the rule or derived metric will not be scoped.

A condition is the part of a rule that is evaluated against monitoring data. When creating a simple rule or when configuring a severity level for a multiple-severity rule, you must specify a condition.

Like rules, derived metrics can be scoped to topology types or object instances and contain an expression that is calculated at runtime. Foglight uses this expression to calculate the derived value.

You are editing a simple rule that is scoped to the topology type JVM; the condition for the rule is #threads_started#>10. You want to create a message (to use as the text of the email that is sent when the rule fires) that includes the value of the #threads_started# metric at the time when the rule fires.
Using the controls on the Severity Level Variables tab of the Fire tab, you create an expression called threadsNum whose value is #threads_started#. You then create a message called ProblemSynopsis. The value that you set for this message is:
In this message, the at sign ‘@’ is used to reference the threadsNum expression. When the message shown above is included in the email, @threadsNum will be replaced by the number of threads that were started at the time when the rule fired.
There is a registry variable called CPUFatal whose value is 90 for the topology object to which the rule you are editing is scoped. You want to reference this variable in the alarm message for the rule’s Fatal severity level, so you create an expression called CPU whose definition is registry("CPUFatal"). You then reference this expression in the rule’s alarm message: CPU usage is at @CPU%.
You are configuring the Critical severity level for an existing rule that scoped to all requests with names that include the element jdbc (the rule scope is RequestType where name like "%jdbc%"). You want an alarm to be fired for this level if the average execution time (over the last hour) for a request in the rule scope exceeds the limit set by the registry variable ExecuteTimeCritical.
After launching the Condition Editor dialog box, open the Function tab and select avg from the Function Name box. You then specify the argument for the selected function in the Arg1 field. For example, specify the execution time as an argument for this function by typing #executionTime for 1 hour# in the Arg1 field. Then click Insert to insert the function. The function and its parameter appear in the Condition field.
To complete the condition, you need to insert the appropriate operator and the registry variable. You place the cursor at the end of the condition and insert the the greater than ‘>’ operator. In the Condition Editor dialog box, you switch to the Registry Variable tab, select ExecuteTimeCritical from the list, and click Insert. The condition appears as follows:
You are creating a number of rules, each of which is scoped to a different EJB instance. You know that you need to configure the conditions for many of these rules to perform the same function (rate) on the same metric (#passivationCount#). Instead of doing this manually for each rule, you decide to create a derived metric that you can use in all of these rules’ conditions.
You use the fields and controls on the Create Derived Metric dashboard (Data > Create Derived Metric) to create a derived metric expression that calculates the passivation rate for EJBs.
After launching the Expression Editor dialog box, you open the Function tab and select rate from the Function Name box. You then specify the argument for this function in the Arg1 field. For example, specify the passivation count as an argument for this function by typing #passivationCount# in the Arg1 field. Then click Insert to insert the function. The function and its parameter appear in the Condition field.
1
In the display area, place the cursor in the Condition box (rules) or Expression box (derived metrics) where you want to insert the variable.
The Condition Editor (rules) or Expression Editor (derived metrics) dialog box appears.
3
To insert a registry variable into an expression, in the Condition Editor (rules) or Expression Editor (derived metrics) dialog box, ensure that the Registry Variable tab is open. Select a variable from the list, and click Insert.
The dialog box closes and the Condition (rules) or Expression (derived metrics) box refreshes, showing the newly-added variable.
4
To insert a metric or a property into an expression, in the Condition Editor (rules) or Expression Editor (derived metrics) dialog box, open the Metric/Property tab.
Scoping Topology: Shows a single scoping topology type included in this category. If the rule or derived metric is not scoped, this area is empty.
Child Topology: Lists the descendants of the scoped topology type.
Other Topology: Lists the following topology types:
Select a topology type from one of the following panes Scoping Topology, Child Topology, or Other Topology.
The Metric/Property tab refreshes, showing the instances and metrics for the selected topology type.
The Metric/Property tab displays only two columns at a time, causing the initial list of topology types to shift to the left. Use the arrow buttons in the upper-left to navigate through the window. A breadcrumb trail displays the metrics and properties you have chosen
To select a metric, in the Metrics pane, click the metric.
To select an instance, in the Instances pane, click the instance name.
The Metric/Property tab refreshes, showing the list of properties for the selected instance.
In the Properties pane, select the property that you want to add to the condition (rules) or expression (derived metrics).
d
Click the Insert button.
The dialog box closes and the Condition (rules) or Expression (derived metrics) box refreshes, showing the newly-selected instance or metric.
5
To insert a function into an expression, in the Condition Editor (rules) or Expression Editor (derived metrics) dialog box, open the Function tab.
Click Function Name and select a function from the list.
The Function tab refreshes, allowing you to specify the arguments for the selected function, and shows usage examples.
The first argument represents the object on which the function will be performed, such as a metric (specified using the format #metric#) or a topology object within the rule or derived metric scope (specified as scope). See Using Functions in Conditions and Expressions for more information.
c
Click the Insert button.
The dialog box closes and the Condition (rules) or Expression (derived metrics) box refreshes, showing the newly-added function.
6
To insert an operator into a rule condition or derived metric expression, place the cursor in the Condition or Expression box where you want to insert the operator, and click the appropriate button.
Click Validate () above the Condition (rules) or Expression (derived metrics) box.
If the syntax is correct, a success message appears above the Condition (rules) or Expression (derived metrics) box.

Derived metric expressions and rule conditions and expressions are matched against monitoring data. Foglight can perform functions on this data. Functions cause calculations to be performed on the data specified in conditions and expressions, allowing the data to be modified before it is matched.

Most of the default functions available with Foglight cause calculations to be performed on metrics. In addition, the functions alarmCount, changeSummary, descendants, findObservationEntries, getContainedObjects, and getObservationTrend cause values to be returned for topology objects (based on a specified scope). In most cases, you specify scope as the parameter for one of these functions; using the scope variable causes the function to be performed on the topology objects included in the rule or derived metric scope. However, there may be situations in which you want to specify an alternate scope. See Advanced scripting example for more information.

The following functions are supported by Foglight for use with rule conditions and expressions and derived metric expressions:

alarmCount: Returns the current number of alarms for each topology object referenced by this function’s scope parameter.
avg: Calculates an average (arithmetic mean) from metric values.
changeSummary: Returns the list of topology property changes for each topology object referenced by this function’s scope parameter over the specified time period (supplied in milliseconds).
checkObservationAlarms: Returns a list of all log entry objects with a particular severity.
checkUserPermission: Check the permissions assigned to a user.
compareStrings: Compares two text strings.
count: calculates the number of observations. An observation can be either a metric or a property of a topology object.
createObservationAlarms: Returns a list of all log entry objects with a particular severity.
currentUserHasAdvancedOperationsRole: Returns True if the current user has Advanced Operator role
delta: calculates the difference between the maximum value of the two most recent samples of a single metric. The delta function is used with metrics whose unit of measurement is count.
delta_rate: calculates the rate per second of the delta.
descendants: returns the set of topology objects that are directly or indirectly contained by each topology object referenced by this function’s scope parameter.
f4registry: Returns the value of a given registry variable for the current scoping object.
findObservationEntries: Returns a list of log entry objects with a specified set of properties.
generateUUID: Returns a random Universal Unique Identifier (UUID).
getAlarmSeverities: Retrieves a list of alarm severities for a given object.
getAllMonitoredComponents: Returns all monitored components in the definition of the scoping object.
getContainedComponentsPropertyName: Returns the property name of the contained component.
getContainedObjects: Returns the set of topology objects of the specified type that are directly contained by each topology object referenced by this function’s scope parameter.
getImpactedServices: Returns a list of impacted services.
getInstalledAgentList: Returns a list of installed agent types that are compatible with and can be installed on a host, given the host’s Foglight Agent Manager ID.
getMonitoredComponentRuleInfoList: Returns a list of rules that are scoped to a monitored component.
getObservationTrend: Returns an observation trend.
getPropertyObject: Returns the value of property for the topology object with the given ID.
getPropertyValueAtGivenTimesOfGivenTopologyObjects: Returns the values of a given property for a list of TopologyObjects at a given list of times.
getPropertyValuesOfTopologyObjectAtGivenTimes: Returns the values of a given property for a list of TopologyObjects at a given time.
getRuleAlarmSeveritiesConfigured: Returns the existing alarm severities that are configured for a rule.
getRuleBasedView: Returns a rule-based view.
getRuleBasedViewInput: Returns a rule-based view input.
getRuleBasedViewName: Returns a rule-based view name.
getRuleComment: Returns a rule comment.
getRuleInfoUsingId: Returns a rule comment given an ID.
getSeverityConditions: Returns a list of severity conditions for a rule.
getTopologyPropertyValue: Returns the value of a topology property for a scoping object at a given date and time
help: Returns a list of supporting information such as scripts or methods as specified by the parameter.
histogram: keeps a histogram to measure the distribution of metric values (for example, for a set of topology objects or for a single object over a specified period of time).
isNotNull: Determines whether a given data object is set to null.
last: Returns a com.quest.nitro.service.scripting.ObservedDataQueryResult object which contains the latest metrics for the scoping object if there are any observations made during a given period.
max: Calculates a maximum from metric values.
metricDifference: Returns the difference percentile between two given metric values.
min: calculates a minimum from metric values.
period: calculates the total length of a period of time from a series of metrics and returns a value in seconds.
positive_delta: Returns the difference between the maximal values of the most recent two metric values for a scoping object.
positive_delta_rate: Returns the difference between the maximal values of the most recent two metric values for a scoping object divided by the time period in seconds of the more recent metric value.
rate: calculates the rate of a metric value per second.
returnIncludeOrExcludeGivenABoolean: Determines whether to include or exclude the object given a boolean value.
returnObjectsSatisfyingNameFilter: Returns a given number of objects whose name matches a string pattern specified by the parameter.
returnObjectsSatisfyingTypeNameFilter: Returns a given number of objects whose name matches a string pattern specified by the parameter.
stddev: Calculates the standard deviation from multiple metric values.
sum: Calculates the sum of metric values.
updateHostModel: Updates the Host Model.
In the Condition box on the Condition tab of the rule’s Warning pane, you specify the following:
You are creating a simple rule that applies to JDBC requests. You want this rule to fire an alarm if the metric #requestResponseTime# returns values greater than 750 milliseconds more than 10% of the time over the period of an hour.
In the Condition box for the rule’s Fire state, you specify a condition similar to the following:

In most cases, you use the scope variable as a parameter for the functions alarmCount, descendants, and getContainedObjects. However, there may be a situation in which you need to create a condition or expression that uses one of these functions but want the function to be performed on an object outside of the rule or derived metric scope.

For example, if you wanted to compare the alarm count for objects within the scope of a rule with the alarm count for a specific server that is not within this scope, you could specify a condition using the following syntax:

alarmCount(scope) > alarmCount(#!CatalystServer where name = "Server_IP:1099"#.getTopologyObjects()[0])

Where Server_IP is the IP address of the server. For example:

alarmCount(scope) > alarmCount(#!CatalystServer where name = "10.4.112.155:1099"#.getTopologyObjects()[0])
NOTE: In the example shown above, the exclamation point ‘!’ implies that the argument passed to the alarmCount function is a topology object property and not a metric.

This sectiontopic provides answers to the following FAQs:

If the rule is scoped to the topology object that has that property, you can reference the property using the scope variable. This variable contains a reference to the topology object against which the expression runs.

For example, you are interested in the property filesystemName, you can use the following in an expression to obtain the property value:

If you want to reference the topology object from within a string or embedded query, you must prefix the scope variable with the dollar sign ‘$’. For example:

or

The fglcmd tool includes a command that allows you to export metric observations to a file using a metric query. The metricexport command can be used to export metrics to a CSV or XML file.

For example, the following command exports the values of the Process metric collected in the past two hours to a CSV file.

C:\Quest\Foglight\bin>fglcmd -usr foglight -pwd foglight

For complete details on how to configure fglcmd, and about the util:metricexport command, see the Command-Line Reference Guide.

 

Documentos relacionados

The document was helpful.

Seleccionar calificación

I easily found the information I needed.

Seleccionar calificación